Articles | Volume 30, issue 7
https://doi.org/10.5194/hess-30-1915-2026
https://doi.org/10.5194/hess-30-1915-2026
Research article
 | 
10 Apr 2026
Research article |  | 10 Apr 2026

Exploring future water resources and uses considering water demand scenarios and climate change for the French Sèvre Nantaise basin

Léonard Santos, Anthony Thomas, Gaëlle Tallec, Laurent Mounereau, Aaron Bluche, Bruno J. Lemaire, Rania Louafi, and Guillaume Thirel
Abstract

Incorporating human influences within water resources modelling, in the context of global change, has proven to be a fruitful approach for improving the assessment of the impact of climate and water demand changes on hydrology and water demand satisfaction (i.e. the percentage of water demand that can be withdrawn). In this study, we developed a methodological framework for planning water management thanks to an integrated water resources management model that details water withdrawal for irrigation, drinking water supply, cattle watering and industry, as well as releases from wastewater treatment plants, drinking water network leakages, and industrial activities, within a catchment subject to human influence. Using this modelling approach on the French Sèvre Nantaise basin and collaborating with relevant stakeholders through workshops, we developed a series of future water demand scenarios to examine the sustainability of water use in the future. Our findings indicate that climate change will be the primary driver of changes in water resources and water demand satisfaction. Moreover, we found that low flows and water demand satisfaction will greatly decline in the future, for four out of the five climate projections we used. Adapting water uses could help mitigate this decline, though not totally. The irrigation sector is set to be the most impacted in terms of water demand satisfaction. The study presents a methodological framework that helps provide water sector managers with tailor-made results to support the design of effective adaptation measures.

Share
1 Introduction

It is well established that climate change, characterized by rising air temperatures and altered precipitation patterns, significantly impacts water resources (Gleick, 1989; Arnell, 1999). Recent studies have enhanced our understanding of future streamflow evolution across various regions, including the Mediterranean basin (Noto et al., 2023), South America (Brêda et al., 2020), and Great Britain (Pastén-Zapata et al., 2020), among others.

While this phenomenon is already a significant environmental concern due to the minimal flows needed to sustain aquatic life, human water uses further exacerbate the issue. In many regions, the water cycle is heavily altered by water withdrawals and releases (Dong et al., 2022). Anthropogenic water withdrawals can be categorised into several sectors, including navigation (Salam et al., 2022), irrigation (Cheng et al., 2021), drinking water (Yalvaç et al., 2023), industry (Li et al., 2024) and cattle watering (Yang et al., 2024), among others. These diverse water uses naturally lead to a range of impacts on the water cycle. These impacts can differ based on the timing of water withdrawals (i.e. rather summer for irrigation, and year-round for drinking water and industry) and the amount of water actually consumed. While the majority of water withdrawn for drinking and industrial uses is typically returned to the system, a significant proportion of water withdrawn for irrigation is consumed through processes such as evapotranspiration and plant growth (Starr and Levison, 2014). Additionally, water can be transferred within or outside of catchments or stored in large reservoirs to meet demand, resulting in significant alterations to hydrological regimes (Peñas and Barquín, 2019).

The Global Water Partnership (2000) defines integrated water resources management (IWRM) as “a process which promotes the coordinated development and management of water, land, and related resources in order to maximize the resultant economic and social welfare in an equitable manner without compromising the sustainability of vital ecosystems”. In other words, IWRM seeks to manage water resources comprehensively and holistically, i.e. considering water resources from a number of different perspectives or dimensions (Savenije and Van der Zaag, 2008).

Hydrological models, as reviewed by Hrachowitz and Clark (2017), classically simulate water resources without considering water uses. Despite the diversity of approaches, and their diverse qualities, when attempting to comprehend and depict anthropized catchments, it becomes clear that relying solely on the modelling of natural hydrological processes is insufficient. Therefore, IWRM modelling has emerged and proved to play a crucial role in the implementation of IWRM (Soncini-Sessa et al., 2007). Such models include water uses and management to the natural water cycle represented by classical hydrological models. Badham et al. (2019) prescribe four important steps to respect when developing an IWRM model for the adoption and implementation of effective modelling practices: planning, development, application and perpetuation.

Among the diversity of existing approaches (e.g. Voisin et al., 2013; Fard and Sarjoughian, 2021; Lemaitre-Basset et al., 2024), two main IWRM models emerge: Water Evaluation and Planning (WEAP) and Soil and Water Assessment Tool (SWAT). The WEAP IWRM model combines water supplies generated through catchment-scale hydrological processes, with a water management model driven by demands for water and environmental requirements (Yates et al., 2005). This model is governed by natural watersheds and the physical network of reservoirs, canals and diversions, and has many applications worldwide, as for example in Iran coupled with an agent-based model (Mirzaei and Zibaei, 2021). Regarding SWAT, the recent SWAT+ version offers more flexibility than SWAT in defining management schedules, routing constituents, and connecting managed flow systems to the natural stream network (Bieger et al., 2017). SWAT+ now includes reservoir operation (Wu et al., 2020) and can be used for water allocation (Sánchez-Gómez et al., 2025). Krysanova and White (2015) proposed a review of the use of SWAT for water resources assessment, including irrigation-related topics. However, other specific approaches were introduced, such as in Harou et al. (2009) or Pedro-Monzonís et al. (2016), where the economic aspect is highlighted. Another tool, the open source airGRiwrm R package, recently emerged in the IWRM models community (Dorchies et al., 2023). This package relies on the application in a semi-distributed mode of the rainfall-runoff GR models and integrates human water uses (e.g. withdrawals, releases, and dams), as well as water management practices. It was used to investigate future water management at river basin scales (Lemaitre-Basset et al., 2024). In addition, we can mention that although WEAP, SWAT and airGRiwrm are rather generic tools, some authors decided to develop case-study specific models, such as the Bow River Integrated Model (BRIM) (Wang et al., 2019).

In the era of global change, the ability to represent the combined future evolution of hydrology and water uses is of paramount importance for water managers (Carmona et al., 2013; Voisin et al., 2017). For example, in France, it is identified by law as a key concern the fact that water resources must be managed in an integrated and sustainable way. In order to address this concern, the Water Agencies promote the formulation of a local water management strategy with the aim of restoring the quantitative balance of water resources and enhancing local knowledge in order to identify the causes of malfunctioning and assess the availability of water resources. To investigate such a topic, top-down and bottom-up approaches exist. As posited by Ludwig et al. (2014), top-down approaches, i.e. approaches using greenhouse gases emission scenario and climate projections to force IWRM models, often result in a large increase in uncertainty. WEAP and SWAT+ are often mobilized within this context. Conversely, bottom-up approaches focus on risk and socio-economic vulnerability. In these simplified stress tests, possible future climate conditions are often represented by given variations of temperature or precipitation applied to climatic observations to evaluate its socio-economic impact. Their main limitation is that they ignore the uncertainty of the applied variations of climatic variables, which may be inconsistent with climate model projections and weaken the credibility of these approaches. To anticipate how both resources and uses will evolve, and how conflicts may arise due to water shortages, in top-down approaches, models are often applied in conjunction with climate projections (Hadri et al., 2022) and water demand scenarios (Ahmad et al., 2025). Evaluating adaptation strategies through water demand scenarios is key to assessing the sustainability of water use, i.e. examining how future modifications in water use could improve or worsen the situation for both natural resources and water demand satisfaction (defined as the proportion of water that could actually be withdrawn compared to the demand volume, due to lacks of water resources, or restrictions) (Lemaitre-Basset et al., 2024). Top-down approaches are often criticized for their large uncertainties, making it difficult to stakeholders to make choices, or for the sensitivity to model biases (Brown et al., 2012).

In the scenario-neutral approach, the responsiveness of a local indicator (e.g., reservoir levels) to incremental adjustments in key driving climate variables (e.g., temperature, rainfall) is tested across a plausible range of changes in variable intensity and seasonality (Broderick et al., 2019; Danner et al., 2017). Such approaches can be framed as part of bottom-up approaches, given that they focus on the vulnerability of the system in relation to a range of potential conditions, regardless of specific scenarios and their inherent uncertainties (see e.g. van der Laan et al., 2023; O'Shea et al., 2024). Other approaches are the Info-Gap (IG) decision theory, a non-probabilistic decision theory that seeks to maximise robustness to failure (Roach et al., 2015), and decision scaling, an approach that defines management objectives and system vulnerabilities, then tests them against a wide range of possible hydro-climatic conditions (Brown et al., 2012). Although the majority of scenario-neutral, IG theory or decision scaling studies are limited to mono-objective cases (e.g. the filling rate of a reservoir), some applications on more complex cases can be found (Tra et al., 2018). Still, these approaches are not without their limitations. For instance, the scenario-neutral approach is dependent on the definition of the range and type of changes (Prudhomme et al., 2010), the IG theory is prone to risk-averse and more costly solutions (Roach et al., 2015), and decision scaling is strongly dependent on thresholds (Brown et al., 2012).

In view of the restricted availability of human, financial and technical resources, a large proportion of the studies undertaken in France to formulate local water management strategies have been confined to calculating water resources and water uses separately and then comparing them (EPTB Vienne, 2024; Syndicat Grand Lieu Estuaire, 2024). In a few recent studies, such as HMUC studies (HMUC, for “Hydrologie, Milieux, Usages et Climat” – Hydrology, Environment, Uses and Climate), water uses were directly incorporated into the hydrological models (Etablissement Public Loire, 2024). However, these studies do not explicit their assumptions nor refer to scientific publications, which shows a need for a methodological framework. We propose to present the incorporation of water uses in hydrological modelling that has been extensively implemented in the Sèvre Nantaise catchment area in western France (Santos et al., 2023b), as we believe that this work is highly relevant both for this local context, but also that it could benefit to a broader perspective in other areas on a methodological point of view. The novelty of this work first lies in the use in an IWRM approach of a hydrological model, a GR model, which has exhibited high performance for simulating natural flows in numerous water resources, low-flow (Nicolle et al., 2014), high-flow (Berthet et al., 2020), climate change (Thirel et al., 2025) and forecasting (Royer-Gaspard et al., 2024) studies. The GR models have been used in many intercomparison works and are known for their high performance from the hydrological modelling community (see e.g. de Boer-Euser et al., 2017). It also lies in the use of the storyline-based approach of Shepherd et al. (2018), since, instead of a large ensemble of projections and a statistical analysis as in classical top-down approaches, we used a selection of physically-consistent pathways adapted to the study objectives. The central objective of this study is twofold: (i) to describe an IWRM modelling chain framework comprising a daily hydrological model, the use of climate input data, the use of water withdrawal and release models and the development of future water demand scenarios, and (ii) to question the sustainability of water uses in a heavily modified catchment, in order to assess the potential added value of adaptation strategies using water use scenarios, for both hydrology and water use satisfaction.

2 Materials and methods

2.1 Study area: the Sèvre Nantaise catchment

2.1.1 Geophysical description of the Sèvre Nantaise catchment

The Sèvre Nantaise is the most downstream tributary of the France's longest river, the Loire. It flows into the Loire River at the city of Nantes. The catchment has a gentle relief, with the highest point reaching an altitude of 215 m. The river spans a total length of 136 km and the basin area is 2350 km2. Its main tributaries include the Maine on the left bank, which take streamflow from the Petite Maine and the Grande Maine, as well as the Ouine, the Ouin, the Moine and the Sanguèze on the right bank (Fig. 1).

https://hess.copernicus.org/articles/30/1915/2026/hess-30-1915-2026-f01

Figure 1Map of the Sèvre Nantaise catchment (left) and location in France (right). Management units (MUs) represent spatial entities used for water resource planning (see details in Sect. 2.3.1); hydrometric stations, detailed in Table A1, are used for model calibration and evaluation. All water withdrawals and releases are detailed in Appendix C and illustrated in Santos et al. (2022).

The predominant land uses are agricultural (88.2 %, with mainly wheat, corn, rapeseed, sunflower, potatoes, vineyards, and meadows), followed by urban (8 %) and natural (3.5 %) areas. Urban areas are concentrated around one main city, Nantes, and several medium-sized cities (between 5000 and 55 000 inhabitants), including Cholet and Clisson, amongst others. Open water constitutes the remaining surface area. The Sèvre Nantaise catchment is located within an area of granite bedrock that is composed of metamorphic, crystalline, and volcanic formations.

2.1.2 Current hydrometeorological conditions

Due to its proximity to the Atlantic Ocean, the study area has a temperate climate with oceanic influences, identified as Cfb in the Köppen-Geiger classification by Strohmenger et al. (2024). Based on climate data from the SAFRAN atmospheric reanalysis (Vidal et al., 2010), mean monthly air temperature ranges from 4 to 19 °C. The average annual temperature over the period 1958–2020 is about 10.5 °C upstream (south-east of the catchment), and 11.5 °C downstream (Nantes area), with a temperature increase in about 0.2 to 0.3 °C per decade. The annual potential evapotranspiration, calculated with the Penman-Monteith formulation (Allen et al., 1998), is slightly above 700 mm yr−1 over the period 1958–2020, and follows an increasing trend. Annual precipitation varies between 700 and 1000 mm yr−1 when averaged over the catchment. It is higher upstream (about 1000 mm yr−1) and lower downstream (about 700 mm yr−1) over 1958–2020. Monthly precipitation is relatively uneven, with winters (around 100 mm per month) wetter than summers (less than 50 mm per month). Based on the national HydroPortail archive (Dufeu et al., 2022), we can qualify the hydrological regime of the Sèvre Nantaise as pluvial (Sauquet et al., 2024). Due to the bedrock underground, groundwater storage is very low in the basin which, in addition to the pluvial regime, leads to a strong seasonality in streamflow. Streamflow is therefore higher in winter, and very low in summer. Some parts of the smaller tributaries can even be impacted by periods of no flow.

2.1.3 An anthropised catchment

The hydrology of the Sèvre Nantaise is influenced by several hydraulic structures designed to meet the water demands of various human activities, including irrigation, drinking water supply, cattle watering and industry. The Bultière reservoir, located on the main course of the Grande Maine River (Fig. 1), has a maximum capacity of 5×106 m3 and supplies water to a water treatment plant with a maximum daily production capacity of 22 000 m3. The Ribou-Verdon reservoirs, located on the Moine River, have a combined maximum capacity of 17.6×106 m3 and provide water to a treatment plant with a maximum daily production capacity of 24 000 m3. In addition to these large reservoirs, there are approximatively 11 500 smaller reservoirs, with a total volume estimated at 54.9 Mm3 (Table 1). These smaller reservoirs (when used) serve various purposes, including agricultural and industrial water supply, as well as recreational activities and their influence on hydrology remains partially unknown. Around 6 % to 7 % of agricultural areas are irrigated. Furthermore, the operation of wastewater treatment plants within the catchment results in the release of water at multiple locations. Due to the area's geology, characterized by the absence of deep aquifers, most water abstraction occurs from surface water or shallow aquifers. In addition, water transfers between neighbouring catchments are possible. For example, about half of the drinking water is imported from outside of the Sèvre Nantaise catchment (around 12 Mm3); conversely, a small part of the Bultière reservoir water is used to provide drinking water to population living out from the Sèvre Nantaise basin. For a more comprehensive overview of the anthropogenic influences on the catchment, refer to Santos et al. (2022, 2023a). The following sections provide detailed data on water withdrawn and released volumes.

Table 1Number of small reservoirs on the Sèvre Nantaise catchment for three surface categories.

Download Print Version | Download XLSX

The regulatory framework for water management in the Sèvre Nantaise catchment establishes priorities for water allocation, with health, safety, and drinking water supply taking precedence over other uses. In the event of a water shortage, local authorities are empowered to impose a series of restrictions across sub-catchments, primarily based on streamflow observations from specific gauging stations (see Préfet de la Loire-Atlantique et al., 2021).

2.2 Data

2.2.1 Observed hydrometeorological data

Climate data from the SAFRAN atmospheric reanalysis were used (Vidal et al., 2010) for forcing the model over 2008–2020. This reanalysis provides daily precipitation, air temperature and potential evapotranspiration (PE) on an 8×8 km2 regular grid. PE was estimated using a modified version of the Penman-Monteith formulation (Allen et al., 1998), in which radiation data were replaced with air temperature estimates following the Hargreaves formulation (Hargreaves and Samani, 1985). This modification ensures a homogeneous estimation of PE, as some regional climate models do not account for evolutive aerosols, which can impact their radiation estimation (Boé et al., 2020). Daily streamflow data were retrieved from the national HydroPortail database (Dufeu et al., 2022). These datasets, which had previously been quality-checked by data providers, were subjected to further visual inspection in order to detect erroneous data. A total of 13 hydrological stations were selected for the study (Table A1). The data covered the 2008–2020 period, without any gap. It can be seen in Table A1 that the ratio between Q25 and Q75 can differ a lot between very contrasted stations (e.g. on the Sanguèze) or less contrasted stations (e.g. on the downstream Sèvre Nantaise).

2.2.2 Climate projections

To assess the impact of climate change on hydrology and water use satisfaction, a classical modelling chain was employed. To this end, we used climate projections produced by the Explore2 project, funded by the French Ministry of the Environment (Sauquet et al., 2025). The Explore2 dataset includes a selection of climate projections from 17 General Circulation Models (GCMs)/Regional Climate Models (RCMs) couples extracted from the Euro-Cordex initiative (Jacob et al., 2014, 2020), corresponding to the CMIP5 experiment (Taylor et al., 2012). Given the large volume of available data (Marson et al., 2024), a subset of five GCM/RCM projections was selected, using the greenhouse gases emission scenario corresponding to the Representative Concentration Pathway 8.5 (RCP 8.5) and using the ADAMONT bias-correction method (Verfaillie et al., 2017). The RCP 8.5 was chosen because it was, at the time of its selection, the most likely scenario in terms of temperature increase, the scenario with the largest amount of available projections and the largest amount of feedback (see Marson et al., 2024). The ADAMONT bias correction method is a variant of the quantile-mapping approach that forces the statistical distribution of the simulated atmospheric variables to match that of the SAFRAN atmospheric reanalysis; it was applied on the 1976–2005 period within the Explore2 project. The selection of the five GCM/RCM projections followed the recommendations of Marson et al. (2024). First, we relied on the dismissal by Marson et al. (2024) of climate projections whose seasonal precipitation and air temperature evolutions were outside the Q5 / Q95 range of CMIP6 projections over France. CMIP6-based projections could not be used as they had not yet been regionalised over France. Second, we adopted the storyline approach introduced by Shepherd et al. (2018) and also selected recently for climate projections over France by Marson et al. (2024) and Sauquet et al. (2025). The storyline approach relies, instead of using a large ensemble of projections and assessing climate-related evolutions based on probabilities, on a selection of physically-consistent pathways represented by a few contrasted climate projections adapted to the study objectives. The goal is not to answer “What will happen?” as in the probabilistic use of a projection ensemble, but “What would be the impact of particular actions and climate change under this plausible climate realization?”. Consequently, we selected five projections whose seasonal precipitation and air temperature evolutions were contrasted, among the available projections of the Explore2 dataset. Results from the different projections will not be aggregated, since the ensemble mean is a scenario that smoothens extremes, with a much smaller variability than individual models or observations (Gleckler et al., 2008), and so does not represent a potentially real climate (Abramowitz et al., 2019). A few contrasted scenarios are also much easier for catchment stakeholders to apprehend and to use in future planning.

A comprehensive analysis of precipitation and temperature evolutions was conducted for RCP 8.5, focusing on the 2056–2085 period relative to 1976–2005. This analysis encompassed annual and seasonal variations across the catchment. The five selected projections are presented in Table 2, while Appendix B compares the actual evolution of precipitation and air temperature for the five projections across all available projections. All projections result in an increase in temperature year-round, particularly during summer and autumn. Furthermore, all projections indicate either an increase or no change in winter precipitation and a decrease or no change in summer and autumn precipitation, with contrasted patterns for spring and the entire year. Comparatively, the five projections describe the following storylines: A1 presents limited climate evolutions, while C1 presents a future with a large increase in precipitation, C2 presents a future with a large contrast between summer/autumn (decrease) and winter (increase) precipitation, F4 presents a future with a decrease of precipitation during spring, and B3 presents a future with a precipitation decrease during summer and autumn and at the annual scale, and no increase during winter.

Table 2List of selected climate projections and their characteristics in terms of precipitation and air temperature evolution for 2056–2085 relatively to the 1976–2005 period based on results from Appendix B.

Download Print Version | Download XLSX

2.2.3 Water withdrawal and release data

A close collaboration with stakeholders ensured the successful retrieval of water withdrawal and release data from national and local Water Agency databases, as well as directly from water users. Most data series were available from 2008 to 2020. While some data were available on a daily scale (particularly for large reservoirs), most were provided at coarser time intervals: monthly for wastewater treatment plant releases, or annually for industrial withdrawals and releases, as well as irrigation and cattle watering (although the latter was estimated knowing the number of heads). Regarding irrigation and drinking water withdrawals, data at finer scales were accessible, but only for a limited number of years. Finally, some areas had missing data because certain users did not provide their data. Please refer to Appendix C and Santos et al. (2023a) for more details about the water use database and its improvement.

2.3 Hydrological modelling including integrated water resources management

2.3.1 The rainfall-runoff model used for representing the natural hydrological cycle

River streamflow is simulated with the GR6J hydrological model, using a semi-distributed approach. The GR6J model is a daily lumped process-based hydrological model that was developed for low-flow simulation (Pushpalatha et al., 2011; Tilmant et al., 2020). It is a modified version of the GR4J model (Perrin et al., 2003). The GR6J model is a bucket-type model with six parameters requiring calibration, X1 to X6. X1 is the production store capacity parameter (mm). X2 is the inter-catchment exchange coefficient (mm d−1). X3 is the routing store capacity parameter (mm). X4 is the unit hydrograph time base (in days). X5 is the inter-catchment exchange threshold (unitless). X6 is the exponential store capacity parameter (mm). The GR6J model used in this study is included in the airGR R package (Coron et al., 2017, 2020).

The study catchment is subdivided into 32 sub-catchments on which the GR6J model is applied in a semi-distributed manner. This approach utilises specific climatic inputs (precipitation and potential evapotranspiration) along with parameter values for each sub-catchment to simulate the corresponding streamflow. The upstream streamflow is then routed to the downstream sub-catchment using a lag function and an additional parameter L (m s−1), which represents the in-stream celerity (Lobligeois et al., 2014). Semi-distributed versions of GR hydrological models have been successfully applied in the context of climate change (Sauquet et al., 2025; Thirel et al., 2025) and influenced hydrology (Lemaitre-Basset et al., 2024). The subdivision of the catchment into 32 sub-catchments was designed to align with locations of the 13 gauge stations (Appendix A) and the 11 management units (MUs) used for water management planning in the Sèvre Nantaise (Fig. 1). In addition, we refined some sub-catchments to obtain areas with relatively similar surfaces. For sub-catchments without a gauging station at their outlet, GR6J parameters are transferred from upstream catchments, as proposed by de Lavenne et al. (2019).

2.3.2 Integrated water resources management modelling

To accurately represent the hydrological processes of the Sèvre Nantaise catchment, which are influenced by water withdrawals and releases, an IWRM modelling approach was employed. This entails modelling natural water resources (i.e. streamflow) while incorporating withdrawals, releases and management practices of water (e.g. restrictions). The open source airGRiwrm R package was used for this purpose (Dorchies et al., 2023). This package facilitates the establishment of hydrological modelling with semi-distributed GR models, leveraging the capabilities of the airGR R package, which provides the GR hydrological models, including GR6J. Beyond the functionalities of airGR, the airGRiwrm package automates the semi-distribution of the GR models and integrates human water uses (e.g. withdrawals, releases, and dams), as well as water management practices. In this case, human water uses can be derived either from observed time series or from water demand models. This tool ensures that the human-influenced part of the water cycle is taken into account by water demand models (or their observed time series) and water restriction rules, while the natural water cycle is represented through the rainfall-runoff model. The hydrological model parameters thus describe a more natural rainfall-runoff relationship.

To prepare the integrated model, four steps were undertaken, as described below. These four steps could be replicated in other studies:

  • Gather and analyse water withdrawal and release measured data (see Sect. 2.2.3 and Appendix C).

  • Fill gaps in water withdrawal and release data if necessary. As this is a highly data dependent work, please see Santos et al. (2023a) for more details.

  • Propose water demand and release models (see below) based on the local context and the understanding of the processes.

  • Evaluate the performance of the water demand and release models. Such an evaluation can be done in two manners: (i) compare the water withdrawal and release volumes simulated by the models to the measured water withdrawal and release data and (ii) assess the performance of the integrated models, i.e. that incorporates both natural hydrology and water uses, in terms of simulated influenced streamflow. The first point is not present in the manuscript, as such data are sparse and of limited quality, but the second point is given in Sect. 3.1.

As mentioned above, several water demand models were implemented, namely for drinking water, irrigation, cattle watering and industry. In addition, water release models were implemented for industry, drinking water and wastewater treatment. All these models are necessary to estimate future water use fluxes. Their equations are detailed, in addition to the Ribou-Verdon and Bultière dams management, in Appendix D, and the associated fluxes are schematically presented in Fig. 2. In essence, the cattle water demand is proportional to the number of heads and the respective consumption per head, partly withdrawn from the drinking water network or from the natural environment, and is distributed over the year. The industrial water demand is estimated based on the consumption from each industry, and is partly withdrawn from the drinking water network or from the natural environment and distributed over the year. The returning water for industry is partly released to the wastewater treatment network and to the natural environment. The drinking water withdrawal is proportional to the number of inhabitants, to the unit consumption, and to the losses of networks, whereas the release is proportional to the percentage of habitations linked to the wastewater treatment plants, and to the withdrawals. Regarding irrigation, the CropWat (Allen et al., 1998) irrigation demand model described in Soutif-Bellenger et al. (2023) is used. The demand for irrigation water is determined by various factors, including the type of crop, the availability of a small reservoir, the percentage of irrigated area, and the prevailing climate conditions. This demand is then met through the withdrawal of water from either the natural environment or small reservoirs.

https://hess.copernicus.org/articles/30/1915/2026/hess-30-1915-2026-f02

Figure 2Schematic of the functioning of the integrated hydrological model. Two catchments are shown: the upstream catchment includes a dam reservoir (corresponding to MU1 and MU3 in the Sèvre Nantaise catchment), while the downstream catchment does not include any dam reservoir (corresponding to all other MUs). Small reservoirs and the related water demands, as well as wastewater treatment plants, can be present in both cases but are shown in the downstream catchment only for graphical purposes. All fluxes and notations are detailed in Appendix D. Natural fluxes are in dark green, streamflow is in blue, water withdrawals in light green, and water releases in dark orange.

Download

Specific resource management rules (i.e. restrictions) were implemented during periods of drought to address situations in which water resources are insufficient to satisfy all the uses simultaneously. Crisis management streamflow are used to trigger water use restrictions based on streamflow levels, protect ecosystems by maintaining minimum streamflow in watercourses, and prioritise water uses. They are also used for anticipation, with the aim of avoiding reaching alert thresholds, heightened alert thresholds and, above all, crisis thresholds. The first level of restriction leads to a suppression of irrigation as well as a 25 % reduction of industrial withdrawals outside the drinking water network. At the second level of restriction, irrigation and industry withdrawals are stopped, and the drinking water withdrawals are reduced by 5 %. In circumstances where streamflow is at its lowest, the model implements an order of priority for the uses, emulating the real-world practices, as follows: drinking water production, cattle watering, industrial production, irrigation, and finally, small reservoirs filling up. For each sub-catchment, the aforementioned uses are satisfied in this order.

2.3.3 Hydrological modelling set-up

In the following, we use the model under three configurations (Fig. 3): (i) the model that incorporates observed withdrawals and releases into the GR6J model that is used for calibration (i.e. the calibrated model, hereafter referred to as “Calib”), (ii) the GR6J model alone, i.e. not considering water uses; this model allows assessing the impact of water uses on the Sèvre Nantaise hydrology and the projected evolution of natural water resources (i.e. the uninfluenced model, hereafter referred to as “Uninf”), and (iii) the model, in which water uses are determined from water demand and release models and incorporated into GR6J together with management rules; this version of the model is necessary to investigate the impact of climate change and future water use scenarios (i.e. the integrated water resources management model, hereafter referred to as “iwrm”). Note that the GR6J model in the “Uninf” and “iwrm” models was not recalibrated and uses the “Calib” parameter values.

https://hess.copernicus.org/articles/30/1915/2026/hess-30-1915-2026-f03

Figure 3The three conceptual hydrological modelling frameworks integrating, or not, water uses, and their objectives. The hydrological model is only calibrated in the “Calib” version.

Download

The “Calib” model will mainly be used for optimising the GR6J model parameters. The three models, forced by SAFRAN over 2008–2020, will be evaluated by comparing the simulated streamflow to observed streamflow at the 13 gauging stations (Sect. 3.1). The “Uninf” model will be used to illustrate the impact that not considering water uses can have on the performance of modelling (Sect. 3.1), and to provide an assessment of the evolution of natural streamflow under climate change (Sect. 3.2). Finally, the “iwrm” model will be used to assess the impact of climate change on influenced streamflow, water demand, and water demand satisfaction (Sect. 3.3, 3.4 and 3.5). These two last applications will necessitate the use of climate projections, both for the reference period and for the future period, and, for “iwrm”, of water use scenarios. We express water demand satisfaction as the ratio in percentage between water withdrawal and water demand.

Before using the model for prospective objectives, we first calibrated it (“Calib” model) against measured, therefore influenced, streamflow values. Based on the work of Santos et al. (2018) and Thirel et al. (2024), we applied the KGE criterion (Gupta et al., 2009) with a Box–Cox transformation of streamflow, which normalizes the streamflow distribution, giving a similar weight to high and low flows. The model parameters were optimised sequentially, i.e. from upstream catchments to downstream catchments, using a version of the model in which the observed water releases and withdrawals described in Sect. 2.2.3 were incorporated. Parameter optimisation was based on streamflow data, observed between 2008 and 2020, the period for which water use data were available, with an initialization of the model over the 2006 and 2007 years. To ensure that the parameters are not overly specific to this time period, we conducted a calibration-control test (i.e. a verification of parameter performance and values over an independent period), as advised by Klemeš (1986). The data period was divided into two equal 6-year sub-periods (October 2008–September 2014 and October 2014–September 2020), which were used for two separate optimisations. Performance was then evaluated over these sub-periods to check that performance degradation, outside the optimisation period, was low. The results showed that performance losses remain limited, suggesting that the selected parameters are applicable for future periods (not shown here).

2.3.4 Hydrological model evaluation

In this article, we present the model performance for the period from 2008 to 2020. The performance is assessed using the KGE criterion (Gupta et al., 2009) along with its bias component. To place more emphasis on low flows, we also provide the KGE criterion value after applying a Box–Cox transformation. To evaluate the impact of climate change and water uses on streamflow, we use a set of hydrological indicators that scan different segments of the streamflow range. Specially, we focus on the average streamflow (QA) and the mean annual minimum monthly streamflow with a 5-year return period (noted QMNA5 and widely used in French water management regulation as a low-flow indicator). Note that the KGE criterion compares observed data (i.e. influenced streamflow) with, respectively, simulated data from the “Calib” model (i.e. influenced simulated streamflow), from the “Uninf” model (i.e. uninfluenced simulated streamflow) and from the “iwrm” model (i.e. estimate of influenced simulated streamflow based on uses and management rules).

2.4 Exploratory scenarios for projections of water demands

Since the modelling framework explicitly includes water demand models and the mechanisms for meeting this demand through water management rules, it allows to consider the water demand evolution at the catchment scale, in conjunction with the impact of climate change on water resources availability. To cover a wide range of potential water demand changes, and in agreement with Beck and Bernauer (2011) and Zhang et al. (2023), three distinct scenarios were proposed, each adapted to the different water use sectors, through a three-step process:

  • First, national to regional reports describing adaptation plans were reviewed to create an initial set of three scenarios, each representing a possible evolution of water demand for every water use sector.

  • Second, these three scenarios were presented to the local stakeholders (agricultural advisors, drinking water and wastewater treatment companies, environmental representatives, and local and regional officials) during a workshop in which we reviewed and discussed each hypothesis and the corresponding water demand evolution.

  • Third, modifications of the water demand projections were made based on feedback from the stakeholders, who then validated the revised scenarios.

The first scenario assumes a constant water demand. The second scenario reflects future water demand following recent trends, while the third scenario presents an alternative future, with large changes in demand. Namely, for the alternative scenario, higher efforts are being made to improve the efficiency of both the drinking water network and industrial consumption per unit. The number of cattle heads is reduced, and a greater proportion of water withdrawal for livestock coming from the drinking water network. In addition, there is a halt of the decrease in the total cultivated area as well as a modification of crop rotation. The details of the three scenarios and the added value of the stakeholder workshops are presented in Appendix E and in Santos et al. (2023b).

3 Results

3.1 Performance of the hydrological models

Table 3 shows that the “Calib” model, which is the only calibrated one, performs reasonably well overall when forced by SAFRAN over the 2008–2020 period, with most KGE values above 0.8, with only few exceptions. The “Calib” model has a limited bias (only a slight underestimation of streamflow in some stations) but shows high performance for low flows (KGEboxcox indicator). For most stations, the KGE values are rather similar across the three models, with differences of less than 0.02. This means that the water releases and withdrawals have a limited impact on the overall streamflow regime at most stations. Exceptions are observed on the Moine River, where the Ribou-Verdon dams are located. Specially, the upstream Cholet station (where the calibrated model performs best) and the more downstream Roussay and St-Crespin-sur-Moine stations (where the integrated model performs the worst) show differing results. These findings indicate that the Ribou-Verdon dams impact a lot the streamflow regime (when comparing “Calib” vs. “Uninf”), and that their representation in the “iwrm” model may be imperfect (when comparing “Calib” vs. “iwrm”).

Looking at the bias score, we observe that streamflow is underestimated when the Ribou-Verdon dams are neglected or represented by a model. This issue may be related to assumptions made to try to represent the dam operations, in the absence of any measurement regarding infiltration, evaporation or upstream streamflow, that may lead to an underestimation of downstream streamflow. However, this issue is somewhat mitigated when examining the KGE Box–Cox values, that focus on low flows. Indeed, this criterion shows that the “iwrm” model outperforms the “Uninf” model for almost all stations, including those on the Moine River, where the KGE values were deficient. This means that the “iwrm” model performs well for low flows, which is important for the representation of water resources and the evaluation of water use satisfaction under climate change.

These observations are further supported by Fig. 4, where the observed interannual streamflow regimes are very well reproduced by all three model versions at most gauge stations. Discrepancies between the models are most notable on the Moine River (Cholet, Roussay, St-Crespin-sur-Moine), where low flows are underestimated by the uninfluenced model, and high flows are underestimated by all the models even the one incorporating observed influences. All models also show slightly weaker performance at the Sanguèze (Tillières) station.

Table 3Performance criteria for the three model versions forced by SAFRAN for 2008–2020 for the 13 gauge stations. For each criterion, the score for the best model is shown in bold, and the score for the worst model is shown in italics. The KGE and KGE Box-Cox criteria are positively oriented and the best value is 1. The Bias best value is 1, and a value above 1 depicts an overestimation, while a value below 1 depicts an underestimation.

Download Print Version | Download XLSX

https://hess.copernicus.org/articles/30/1915/2026/hess-30-1915-2026-f04

Figure 4Interannual streamflow regime over 2008–2020 for the 13 gauge stations, observed and simulated by the three model versions using SAFRAN as input.

Download

3.2 Evolution of uninfluenced streamflow under climate change

Figure 5 illustrates the interannual streamflow regime, uninfluenced by water uses, for five climate projections, and the reference period, at the Sèvre Nantaise catchment outlet in Nantes. It is evident from the Fig. 5 that the streamflow evolution is contingent on the climate projections. Overall, the evolution appears limited for projection A1, which represents the scenario with the lightest climate evolution. Projection F4 shows a moderate increase in streamflow during winter and few changes the rest of the year. Evolutions for the other projections are more contrasted, in accordance with the climate evolutions described in Table 2. Generally, streamflow tends to increase in winter and early spring for projections C1 and C2, and to decrease in autumn for all projections. These trends are consistent across the rest of the catchment, as seen in Appendix F for the Cholet and St-Fulgent stations. Low-flow evolutions are not visible in Fig. 5 or Appendix F due to the already low streamflow values.

https://hess.copernicus.org/articles/30/1915/2026/hess-30-1915-2026-f05

Figure 5Interannual streamflow regime for the projected uninfluenced streamflow for the Nantes gauge station (main outlet of the catchment) for 2056–2085 for the five climate projections.

Download

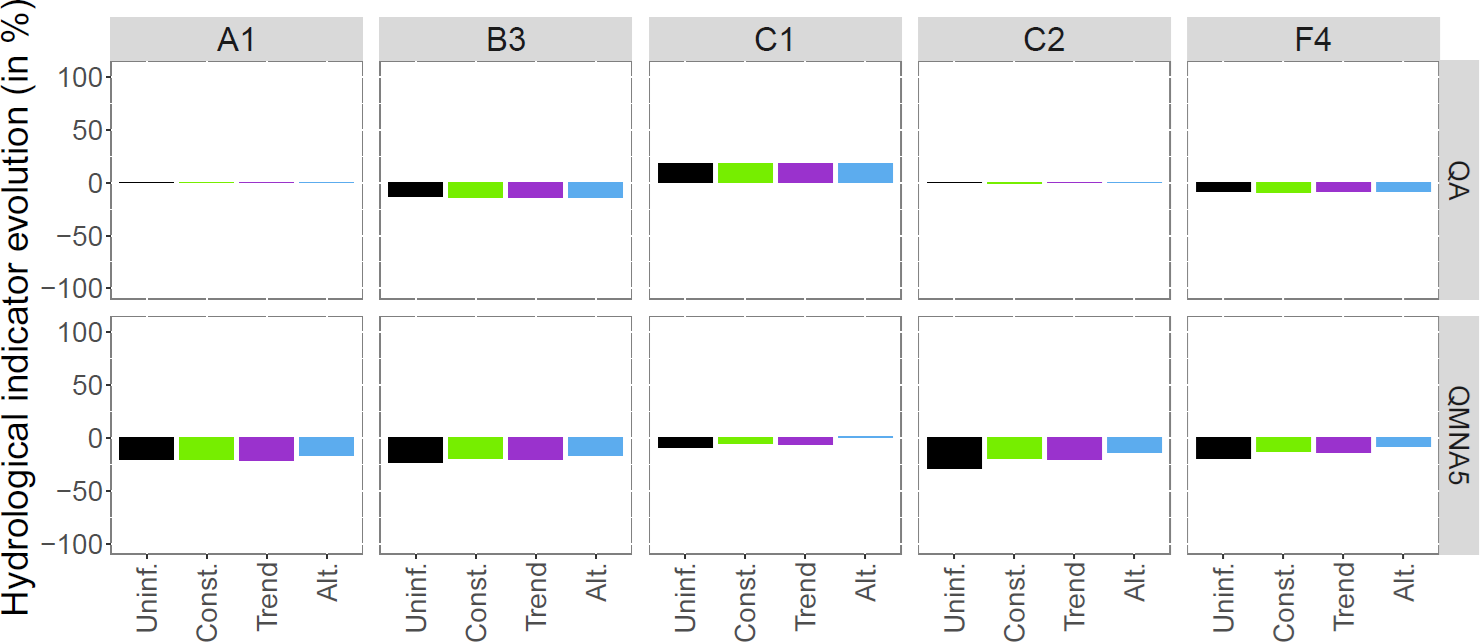
Figure 6 shows that the evolution of several indicators is highly dependent on the climate projection for the 2056–2085 period, which we focus on as it is particularly relevant for water managers facing significant climate changes. Regarding average streamflow (QA), the A1 and C1 projections – which indicate stagnation and increased annual precipitation, respectively – lead to slight to moderate increases in this indicator for most Management Units. In contrast, other projections lead to limited evolutions or even decreases. The projections for low flows (QMNA5) show more intense evolutions. It is clear that all projections lead to a decrease for this indicator, consistent with the decrease in summer precipitation, except for projection C1 for the Sanguèze (north of the catchment). This implies that for low flows, even a favourable climate evolution would result in decreased water resources, especially during dry periods. Regarding spatial patterns, only MU3 and MU4, located along the Moine River (north-east of the catchment), show a distinct pattern, with less intense evolutions, for low flows. The Sanguèze sub-catchment (MU7), located in the north, shows more contrasted evolutions for all indicators.

https://hess.copernicus.org/articles/30/1915/2026/hess-30-1915-2026-f06

Figure 6Evolution in percentage of the hydrological indicators obtained with the “Uninf” model under five climate projections for the 11 Management Units of the Sèvre Nantaise for 2056–2085 compared to 1976–2005. The shaded bars indicate the 50 % to +50 % range. QA stands for mean flows and QMNA5 is an indicator of low flows.

3.3 Evolution of water demand under climate change and water demand scenarios for 2056–2085

It is important to remind that water demand refers to the theoretical amount of water requested by the different uses, independent of actual water availability or climate conditions. As shown in Fig. 7, only the demand for irrigation water is impacted by the choice of the climate projection, as it is the only water use for which water demand varies regarding climate projection. This makes sense, as none of the other water uses are strongly influenced by climate, except for cattle watering that increases a bit when air temperature exceeds 30 °C. Indeed, irrigation tends to increase more under climate projections where precipitation decreases the most (B3, C2 and F4). We can also observe that irrigation and cattle watering are the water uses exhibiting the largest relative evolutions. However, it is important to remember that the volumes of water concerned by these changes are not of the same order (see Appendix C for observed volumes in 2008–2020), with irrigation and drinking water accounting for the overall largest withdrawn volumes. We find that the alternative scenario leads to overall lower or similar water demand compared to the constant and trend scenarios, while the trend scenario leads to the largest water demand, except for cattle watering, for which the current decrease is extended. Differences between MUs (see Appendix G) mainly relate the fact that specific water uses are absent, such as drinking water for many MUs, or industry for MU10 and MU11, a result from the multiplying factors applied to translate the water use scenarios into actual demands (Appendix E).

https://hess.copernicus.org/articles/30/1915/2026/hess-30-1915-2026-f07

Figure 7Relative evolution of water demand for the different uses (in rows) and scenarios (in columns) under five climate projections aggregated at the Sèvre Nantaise scale for 2056–2085 compared to 1976–2005. See Appendix G for spatialised indicators.

Download

3.4 Evolution of streamflow under climate change and water demand scenarios around 2050

We begin by comparing the streamflow evolution under climate change for three water use scenarios with that under uninfluenced conditions at the catchment scale (Fig. 8). Figure 8 clearly shows that average streamflow (QA) is primarily impacted by climate change, with only minor influence from the water demand scenarios or the consideration of water use in general. This means that water consumption is not large enough to alter the total amount of water flowing into the rivers at the catchment scale. This may be explained by the fact that, except for irrigation, a significant part of withdrawn water is released in the catchment.

https://hess.copernicus.org/articles/30/1915/2026/hess-30-1915-2026-f08

Figure 8Evolution of mean flows (QA, row 1) and low flows (QMNA5, row 2) indicators at the catchment outlet (Sèvre Nantaise at Nantes) for the uninfluenced simulation and the three future scenarios for the five climate projections (in columns). The evolutions are calculated from 2056–2085 to 1976–2005.

Download

Nevertheless, the situation is different for the QMNA5 low-flow indicator. For QMNA5, while climate change remains a major driver of the streamflow indicators evolution, projection C1 leading to lower decreases of QMNA5 for example, water demand scenarios also influence its evolution. Generally, the alternative scenario results in the smallest decreases in QMNA5. It is expected, as the alternative scenario involves the greater efforts to decrease water withdrawals in the Sèvre Nantaise catchment, as shown in the water demand evolutions (Fig. 7). Conversely, the constant scenario is the one that leads to an intermediate decrease of the QMNA5, and the trend scenario leads to the largest decrease. Again, this is logical as the trend scenario leads to the largest water demand. Interestingly, the evolution of QMNA5 from the uninfluenced simulations leads to even larger decreases of QMNA5. This may be due to the fact that water uses are accompanied by regulations that aim at targeting a minimal streamflow especially downstream of the dams, therefore limiting the relative impact of climate change. One must note however that actual QMNA5 values differ in the reference period between the uninfluenced and the influenced simulations. Because the QMNA5 values can be very small in some MUs (< 0.1 m3 s−1), we do not show spatialized results in order to avoid showing values impacted by numerical noise related to the model water management.

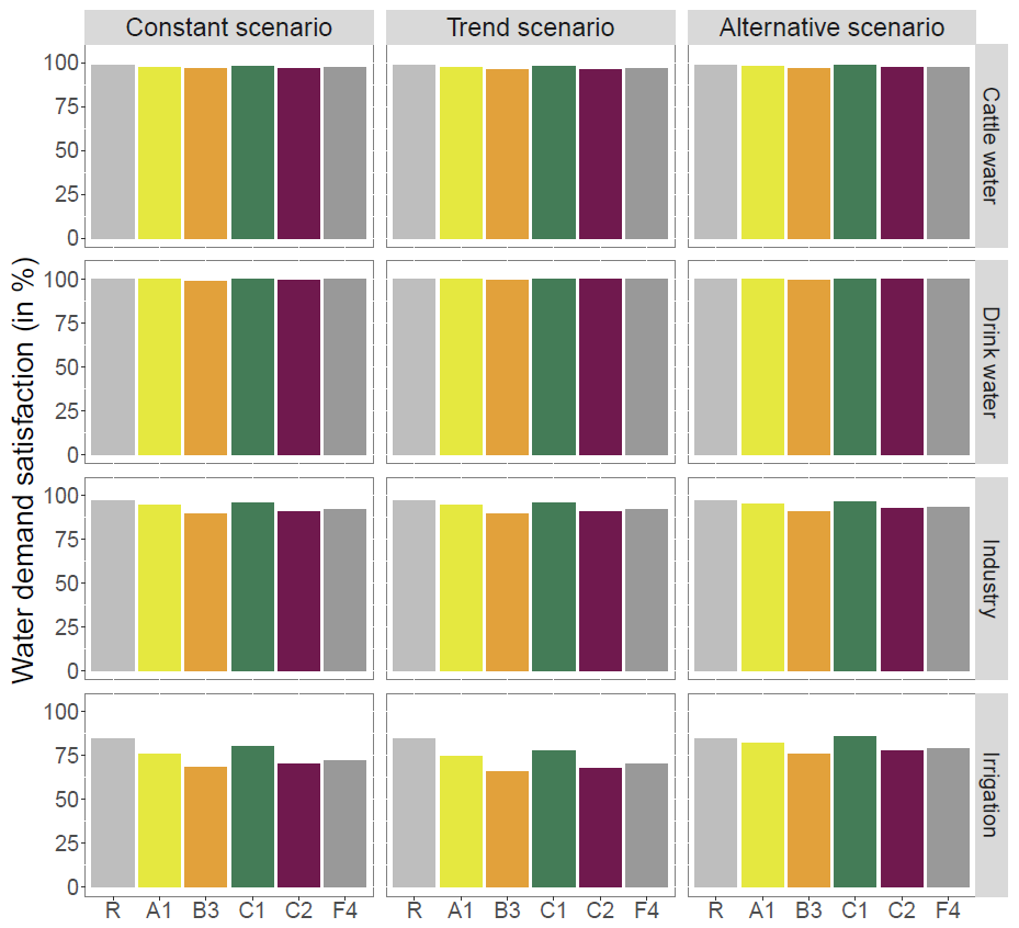
3.5 Evolution of water demand satisfaction for 2056–2085

Figure 9 presents the water demand satisfaction levels for each water use, each climate projection, and each water demand scenario, aggregated at the catchment scale. The analysis reveals that water uses are not uniformly affected by climate change and water demand scenarios. For instance, drinking water satisfaction appears to be barely affected by both factors. This can be attributed to the prioritization of drinking water supply. Conversely, irrigation – the lowest-priority water use – is significantly impacted by climate change. Compared to the reference period (illustrated in grey), the irrigation satisfaction rate declines under all climate projections except C1 (green), where the decrease is relatively modest and can even lead to an increase in some MUs (Appendix G). The alternative scenario results in higher irrigation satisfaction rates than the other scenarios. In between, industry and cattle watering, which have an intermediate priority among water uses, are only slightly affected by climate change, with the exception of MU9 for cattle watering. The alternative scenario provides only limited benefits in these sectors.

https://hess.copernicus.org/articles/30/1915/2026/hess-30-1915-2026-f09

Figure 9Water demand satisfaction (in %) for the different uses (in rows) and scenarios (in columns) under five climate projections at the catchment scale for 2056–2085 (projections A1, B3, C1, C2, F4) and for 1976–2005 (the reference historical period, R). Results for all other MUs are given in Appendix G.

Download

Irrigation largely depends on water use from small reservoirs, whose filling levels are also affected by climate change and water use scenarios (Fig. 10). While the C1 climate projection results in a modest decline in the filling rate of these reservoirs, due to favourable precipitation conditions, all other projections lead to substantial reductions. These declines can be partially, though not entirely, mitigated by the alternative scenario. The MUs unaffected by these decreases are rare (e.g., MU8).

https://hess.copernicus.org/articles/30/1915/2026/hess-30-1915-2026-f10

Figure 10Probability of filling small irrigation reservoirs for the three scenarios under five climate projections for the 11 MUs for 2056–2085 (under the three scenarios) and 1976–2005 (historical).

4 Discussion

4.1 Consequences of climate change and water use scenarios for water resources management on the Sèvre Nantaise catchment

The future evolution of water resources in the Sèvre Nantaise catchment appears to be contingent on climate-driven changes. Precipitation is expected to increase during winter and decrease during summer, impacting streamflow patterns similarly. However, the magnitude of these changes varies across different climate projections, with all but one projection indicating a substantial decline in low-flow indicators, and all but one projection predicting a decrease of total water resources (mean streamflow), albeit less pronounced than the evolution of low flows. These results are coherent with the results of the recent nation-wide Explore2 project (Sauquet et al., 2025), which indicates a decrease of low flows in summer and mean streamflow for most of France with 17 climate projections and up to nine surface hydrological models.

Water use scenarios illustrate a general reduction in cattle water demand, and an increase for irrigation and drinking water demands. This decline in cattle water demand is attributable to a reduction in cattle populations. However, irrigation demands increase in all scenarios, albeit to a limited extent in the alternative scenario, which concords with Konzmann et al. (2012) or Aslam et al. (2025). This rise is attributable to higher crop evapotranspiration due to increasing air temperatures and declining soil moisture, resulting from reduced precipitation. Once again, only the C1 projection limits this increase. The increase in drinking water demand is driven by population growth and is compensated neither by improved network efficiency nor by the decline in water demand for livestock.

The findings pertaining to average streamflow are noteworthy: its evolution is driven by climate change rather than water withdrawals, which is consistent with Lemaitre-Basset et al. (2024), for instance. While some water withdrawals may be substantial, they constitute a negligible proportion of the annual water resource. Furthermore, these withdrawals are partially compensated by water releases within the catchment. Conversely, both water withdrawals and climate change have a major impact on the low-flow evolution. The evolution is complex, but the alternative scenario generally leads to less negative evolutions. Among all climate projections, the C1 is the least detrimental. However, these evolutions in water resources and demand lead to overall decrease of water demand satisfaction throughout the Sèvre Nantaise catchment. Although the primary intention of the alternative scenario was to propose adaptation strategies to help compensate for the impact of climate change, it is possible that the discussions with stakeholders may have limited this objective. The adaptation scenario may have been toned down due to the reluctance of certain actors to disadvantage their water demand sector, or perhaps due to the challenges associated with considering realistic, drastic changes in water uses. Consequently, this has led to a limitation in the contrasts between the results of the different water use scenarios, thereby hindering the identification of a “desirable future”. While the priority water use, i.e. drinking water, remains largely safeguarded, lower-priority uses, particularly irrigation, face a drastic reduction in satisfaction. The most favourable combination of climate projection and water use scenario (C1 projection under the alternative scenario) still leads to a limited deterioration of the situation. In addition, it is highly improbable that small reservoirs are likely to maintain current filling rates in the future, even under the most favourable conditions. These facts are concerning, as the most optimistic scenario requires both strong and proactive local action to curtail the escalating water demand and a global reaction to climate change, characterised by limited climate change response to greenhouse gas concentrations. In any other case, restrictions on water use, impacting sectors such as irrigation, industry, and cattle watering, will become severe, resulting in significant local economic consequences. It can be posited that local stakeholders possess the capacity to mitigate the repercussions of climate change; however, the efficacy of existing solutions may be insufficient in case no disruptive societal trajectory is adopted. In addition, the consequences for aquatic life and more generally environmental issues might be severe.

4.2 On the complexity of catchment-scale water resources management

The in-depth representation of a catchment-scale water resources management system must reflect multi-factorial and complex ensembles of careful decisions and interactions between water uses and the evolution of water resources. Catchment-scale integrated water resources management modelling is therefore the only means to accurately describe these intricate relationships. Larger and coarser representations of IWRM can fall short in accurately representing local management practices and in ensuring the acceptance of their conclusions by local stakeholders. Furthermore, adaptation strategies are predominantly driven by the specific characteristics of the local context, in addition to national policy directives.

Deploying a detailed modelling tool remains challenging, as it requires a comprehensive understanding of the catchment functioning. First, the access to water use data is often difficult, with limited available databases typically being incomplete or not available in digital format, covering short time periods or featuring inadequate temporal resolution (Lopez et al., 2024). Despite this difficulty, the detailed water use database and how gaps were filled are rarely mentioned in the literature, or very coarse datasets are used (se e.g. Beck and Bernauer, 2011; Zhang et al., 2023; Purnamasari et al., 2025). In the present study, thanks to a close collaboration with stakeholders, we could retrieve an important amount of data. However, as mentioned in Appendix C, some data were missing or only available at a coarse resolution. In addition, these data cannot be made freely available, preventing from the reproducibility of the research or its use by other teams.

Second, human decisions-making has a strong impact on water resources. Farmers' decisions regarding irrigation, as well as authorities' decisions to restrict water withdrawals and users' compliance, are key factors. While agent-based models (van Oel et al., 2010; Sousa et al., 2025) incorporate these behaviours, doing so necessitates a high level of model intricacy. Furthermore, it necessitates in-depth in situ investigation to comprehend human behaviours, which is difficult to undertake in large-scale basins. In our case for example, we never obtained the information about the irrigation system used in the catchment, and although water withdrawal suppressions are public, we had no information about the farmers' rate of compliance. Similarly to what can be done with SWAT+ (Bieger et al., 2017), providing we had the information about the irrigation system, we could have included it in our IWRM modelling.

Finally, it is a challenge to implement the complexity of natural and influenced water transfers into the model. The airGRiwrm tool gives a very complete representation of the management of the catchment, which seems much more detailed than in most studies (see e.g. Sánchez-Gómez et al., 2025 with 65 reservoirs, and Wu et al., 2020 with 157 reservoirs), as far as we could see, as such details are rarely provided in the scientific literature. The main limitation of our approach is that groundwater water withdrawals were not considered explicitly. They are negligible in the Sèvre Nantaise catchment, due to its crystalline underground. Ongoing work tries to link the exponential reservoir of the GR6J model to groundwater levels (Pelletier and Andréassian, 2022), which would allow to incorporate groundwater withdrawals in airGRiwrm, but it is not yet operational. Another limitation of the modelling is that returns from irrigated areas are not considered.

One important originality of the present approach is that, instead of primarily developing an IRWM model to which we add a hydrological component, we rely on a well-known hydrological model providing high performance, from the GR rainfall-runoff model family. These models have been developed for decades, and showed their performances for the simulation of streamflow for forecasting (Royer-Gaspard et al., 2024), low flows (Nicolle et al., 2014), high flows (Berthet et al., 2020), and climate change applications (Thirel et al., 2025). By doing so, we ensure that the volumes of water simulated in the rivers, which are very important when we deal with water resource availability, are precisely simulated.

Sèvre Nantaise water managers are currently developing a catchment water management initiative (in French: projet de territoire pour la gestion de l'eau, PTGE), despite the uncertainties identified in this work. This process is law-based and predicated on a comprehensive, joint approach to water resources for every water use within a coherent area from a hydrological or hydrogeological point of view. The resultant commitment on the part of all users in the area (drinking water, agriculture, industry, inland navigation, energy, fisheries, recreational uses, etc.) is to achieve a long-term balance between needs and available resources. This must be achieved while respecting the proper functioning of aquatic ecosystems and anticipating and adapting to climate change, and we hope that the developed tool will help to that direction.

4.3 About uncertainties

Uncertainty quantification is a critical issue when dealing with climate change impacts and water demand scenarios. In this study, we did not perform a systematic quantification of the contribution of the different modelling steps to the total uncertainty, as could be done with an analysis of variance (ANOVA) method (see e.g. Evin et al., 2026). While the application of such a method is increasingly prevalent in studies that integrate climate projections and hydrological modelling (see, for example, Lemaitre-Basset et al., 2021), its use in conjunction with water use modelling within the modelling chain, as in the present study, remains relatively uncommon. This may warrant further investigation. Nevertheless, the present study helps identifying some of the primary drivers of uncertainty in water resources, water demand, influenced streamflow, and water demand satisfaction evolutions, as discussed in the previous sections. Specifically, climate projections appear to be the dominant source of uncertainty for natural water resources, influenced streamflow, water use satisfaction, and irrigation water demand evolutions. Water use scenarios introduce a certain degree of uncertainty regarding water demand, influenced streamflow, and water use satisfaction evolutions, albeit generally at a lower level than climate projections. This underscores the need for further research in both climate and water use modelling. It should be noted that the uncertainty related to greenhouse gas emission scenarios and hydrological modelling was not assessed in this study for the sake of simplicity. However, previous studies have shown that these modelling steps can constitute a substantial source of uncertainty, especially for low flows (Vidal et al., 2016).

The substantial uncertainties identified in such studies can be perplexing for stakeholders. Indeed, the sometimes-opposite trends in water resources evolution, or the limited effect of adaptation strategies on the actual evolution of influenced water resources or water demand satisfaction, may lead stakeholders to believe that the situation is too uncertain to take action. While the primary focus of this study was on the 2056–2085 period, it was observed that the evolution of uninfluenced water resources in the XXIst century may exhibit varying patterns prior to this period, with potential more positive phases as well as potentially more negative phases. These fluctuations are attributed to climate variability, rather than variability in water use, which was assumed to evolve progressively.

As mentioned in the introduction, other approaches that do not depend exclusively on climate projections have been developed, including decision scaling, the scenario-neutral approach, and the info-gap theory (Prudhomme et al., 2010; Brown et al., 2012; Roach et al., 2015). The implementation of these methodologies in this context is conceivable, however limitations may emerge. With the exception of the scenario-neutral approach, for which we could prescribe a given temperature increase, decision scaling and info-gap theory are not compatible with the now wide-spread global warming level approach (see e.g. Corre et al., 2025, for France). One critique of the climate projections-based approaches is the large uncertainties. In the current study, there remains a degree of uncertainty, but the objective is to delineate plausible future scenarios rather than calculating probabilities of events or risks of failure. This approach is useful in a catchment with many inter-related water uses, and it is important to keep a consistence between the impacts across the different water use sectors.

5 Conclusion

The present study has sought to describe an integrated water resources management modelling chain and to assess the impact of climate change and water demand evolution on the Sèvre Nantaise catchment, a pluvial temperate watershed in western France. In this work, we described in details an integrated model relying on the GR6J rainfall-runoff model whose performance in terms of streamflow simulation was shown in past studies. We included in the integrated model more than 11 000 small reservoirs, two large dams, irrigation, industry and, drinking and cattle water demand, as well as wastewater treatment plants and inter-catchment transfers. Thanks to the efficiency of the modelling framework in terms of computational time, all the water uses could be precisely located and their impacts considered with regards to the distance from hydrological stations. We also defined three tailored future water use scenarios that were discussed with local stakeholders.

We show that while the future evolution of annual natural streamflow remains uncertain, a decrease of low flows is highly likely. An integrated water resources management model was then established thanks to which we showed that both influenced low flows and water demand satisfaction are expected to deteriorate. The impact of water demand evolution on streamflow and water demand satisfaction proved limited, compared to the effects of climate change, even under an alternative scenario reducing demand. It was also observed that irrigation will be the most impacted water use, due to its low priority. The methodological framework of this study provided water sector managers with tailor-made results to support the design of effective adaptation measures. It could be transferred to other catchments.

Appendix A: List of the hydrometric stations used in the study

Table A1Hydrometric stations (see Fig. 1 for location), on which the model is calibrated and evaluated, and their observed characteristics. Q25 and Q75 are the 25th (i.e. exceeded 75 % of the time) and 75th (i.e. exceeded 25 % of the time) quantiles of daily streamflow, respectively. The 2008–2020 period is used.

Download Print Version | Download XLSX

Appendix B

Evolution of annual and seasonal precipitation and temperature of the 5 climate projections selected among the Explore2 dataset, relatively to the 1976–2005 period for RCP 8.5 and the 2056–2085 period.

https://hess.copernicus.org/articles/30/1915/2026/hess-30-1915-2026-f11

Figure B1Evolution of the annual average precipitation (P) and temperature (T) for RCP 8.5 and for 2056–2085 relatively to 1976–2005. The colours highlight the five selected projections and allow to compare them to the complete Explore2 dataset (not detailed here). The letters stand for the global climate models and the numbers for the regional climate models.

Download

https://hess.copernicus.org/articles/30/1915/2026/hess-30-1915-2026-f12

Figure B2Evolution of the seasonal average precipitation (P) and temperature (T) for RCP 8.5 and for 2056–2085 relatively to 1976–2005. The colours highlight the five selected projections and allow to compare them to the complete Explore2 dataset (not detailed here). DJF: December–January–February; MAM: March–April–May; JJA: June–July–August; SON: September–October–November.

Download

Appendix C: Water withdrawal and release data

Spatial and temporal extrapolation of water withdrawal and release data, as well as temporal disaggregation, were carried out and validated by local water stakeholders from the Sèvre Nantaise catchment. After extensive analysis, a daily time step database was compiled for all the water uses within the catchment area. However, this article does not focus on that aspect of the research. Readers are therefore encouraged to refer to Santos et al. (2023a) for a more comprehensive description of the database extension. In the present work, the water withdrawal and release data are considered as granted, though it is recognised that uncertainties exist, as is the case with other observed data, such as climatic or hydrological data.

Figure C1 illustrates the evolution of annual water withdrawals across four sectors (drinking water, cattle watering, irrigation and industry) and annual water releases for three sectors (wastewater treatment plants, drinking water leakage and industry). It clearly shows that the volume of water withdrawn for drinking water supply, cattle watering and industry, remains relatively stable in time, whereas withdrawals​​​​​​​​ ​​​​​​​​ for irrigation are more variable, likely due to their sensitivity to climatic variations. Regarding water releases, the volumes from industry and drinking water leakage remain stable over the period, while the amount released by wastewater treatment plants exhibits greater variability. This variability is likely attributable to fluctuating precipitation levels that locally contribute to the release. Additionally, it is notable that total water withdrawals exceed water releases within the catchment by approximatively 35 % (Fig. C1). This water withdrawal exceedance is mainly explained by irrigation and cattle watering even if it is partially compensated by drinking water importation from outside of the catchment. We also see that releases from the wastewater treatment plants are generally higher (except for a couple of MUs) than the drinking water withdrawals, which is mainly due to water transfers with neighbouring basins (around the same volume of water as is withdrawn for drinking water inside the catchment). The intra-annual variability of the water demand differs according to the water use. Namely, drinking water and industrial water demands are rather stable. We only noted a slight increase in drinking water demand during the June to September period, due to both tourism and an increase in the cattle water demand. The irrigation water demand is logically higher during summer months.

Substantial spatial heterogeneities in water withdrawn also exist within the catchment (Table C1). Specifically, drinking water supply are concentrated in a few management units, including the two where the major dams are located, whereas releases from wastewater treatment plants and network leakage are scattered. Other water uses are also unevenly distributed over the Sèvre Nantaise catchment. In addition, the Ribou-Verdon dam aims at sustaining low flows, but the Bultière dam does not, and small reservoirs tend to delay the streamflow increase after the low-flow period.

https://hess.copernicus.org/articles/30/1915/2026/hess-30-1915-2026-f13

Figure C1Left: Evolution of annual water volumes withdrawn for drinking water, cattle watering (excluding water withdrawn from the drinking water supply), irrigation and industry. Right: Evolution of annual water volumes released by wastewater treatment plants, drinking water leakage and industry. All data are measured or interpolated from measurements (see Santos et al., 2023a).

Table C1Management Units (MUs), on which water uses are discussed, their upstream areas, and their withdrawn and released mean annual volumes over 2008–2020 for each water use. SN stands for Sèvre Nantaise and Ind. stands for Industries.

Download Print Version | Download XLSX

Appendix D: Water demand and release models

Below are described the water demand and release models used in this study. The water demand and release models rely on diverse variables, that are listed on the right column of Table D1 and Table D2. The values of these variables for the 2008–2020 period were obtained thanks to many sources, including reports or local databases. These data sources are not listed here. We refer the reader to Santos et al. (2023a) that lists all data sources and also all hypotheses made to deal with missing data. In addition, this report provides values for some variables that are uniform over the catchment, such as the list of the 16 cattle types or the unit consumptions for each cattle type. We believe that the models proposed thereafter can be re-employed or adapted to other case studies. Note that the irrigation water demand model is the CropWat model, whose equations are not given here (see Allen et al., 1998, Soutif-Bellenger et al., 2023).

For the application of the water demand and release models on the future period with scenarios, the evolution of these variables is prescribed relatively to their values over 2008–2020 (see Appendix E). The dams management rules are presented in Table D3.

Many small reservoirs are present in the basin. We processed as follows for each small reservoir:

  1. The hydraulic distance between the small reservoir and the outlet of the sub-basin in which the small reservoir is located is calculated (in order to take into account the delay in the small reservoir's influence in the model).

  2. The catchment area upstream of the small reservoir is defined in order to calculate the runoff intercepted by the small reservoir.

  3. For each day, potential evaporation, runoff from the upstream catchment area and water demand for irrigation are calculated.

  4. A daily balance is calculated to determine the change in the volume of the water body and the volumes withdrawn from the watercourse by the model. Evaporation is calculated based on the surface area of the water body (the water body is considered to have an inverted pyramid shape) and the potential evaporation. The evaporation value in millimetres is equal to 0.75 times the potential evaporation. This coefficient has been optimised by analysing the modelling results against observed flow values.

  5. If the runoff from the upstream basin of the potential evaporation is not sufficient to completely fill the potential evaporation during the period from December to March, active filling from the river is considered during this same period, in order to ensure that the potential evaporation is filled to full capacity.

Finally, we present below the dams management rules.

Table D1Water demand models and variables.

Download Print Version | Download XLSX

Table D2Water release models and variables.

Download Print Version | Download XLSX

Table D3Dams management rules.

Download Print Version | Download XLSX

Appendix E: Water demand and release parameters for each scenario

The water use scenarios are presented in Table E1. Globally, the scenarios that were initially proposed were not rejected by the stakeholders, but the workshops lead to some modifications of the initially proposed scenarios. Some elements that emerged are (non-exhaustive list):

  • The bird flu that was ongoing on the territory was not considered in the initial scenarios. As it seems to lead to a significant decrease of poultry cattle, the scenarios were modified to consider that;

  • Vine spraying to prevent frost damage is an emerging issue in the catchment. The scenarios were modified to add this water demand;

  • The need to consider specific practices, such as agroecology or the type of irrigation. The agronomic modelling cannot consider this and information about the current practices could not be provided by stakeholders, so the scenarios were not modified following these remarks;

  • The trends of the evolution of populations were modified to better represent the local dynamics (see the evolutions in urban areas in the scenarios);

  • The alternative scenario, previously named “adaptative” scenario, was renamed as some evolutions cannot be considered as adaptations;

    A newly planned inter-catchment water transfer was added.

We describe below the resulting scenarios. Note that the cattle types for which we provide scenarios were reduced to only five types, due to the very low number of heads for the other types, which are therefore considered constant.

Table E1Water use scenarios.

Download Print Version | Download XLSX

Appendix F: Uninfluenced future streamflow regimes for additional stations
https://hess.copernicus.org/articles/30/1915/2026/hess-30-1915-2026-f14

Figure F1Interannual streamflow regime for the projected uninfluenced streamflow for the Cholet gauge station (downstream of the Ribou-Verdon dams) for 2056–2085 for the five climate projections.

Download

https://hess.copernicus.org/articles/30/1915/2026/hess-30-1915-2026-f15

Figure F2Interannual streamflow regime for the projected uninfluenced streamflow for the St-Fulgent gauge station (upstream of the Bultière dam) for 2056–2085 for the five climate projections.

Download

Appendix G: Spatialised evolution of indicators
https://hess.copernicus.org/articles/30/1915/2026/hess-30-1915-2026-f16

Figure G1Relative evolution of water demand for the different uses and scenarios (in columns) under five climate projections for the 11 management units (in rows) of the Sèvre Nantaise for 2056–2085 compared to 1976–2005. Empty panels represent the cases where a water use is not present in a MU.

Download

https://hess.copernicus.org/articles/30/1915/2026/hess-30-1915-2026-f17

Figure G2Water demand satisfaction (in %) for the different uses and scenarios (in columns) under five climate projections for the 11 MUs (in rows) for 2056–2085 (projections A1, B3, C1, C2, F4) and for 1976–2005 (the reference historical period, R). Empty panels represent the cases where a water use is not present in a MU. The scale used for satisfaction goes from 50 % to 100 %.

Download

Code availability

The iwrm model was implemented thanks to the airGRiwrm R package version 0.7.0 that can be downloaded directly from the Comprehensive R Archive Network (CRAN): https://cran.r-project.org/web/packages/airGRiwrm/index.html (last access: 1 April 2026).

Data availability

The SAFRAN daily atmospheric reanalysis is provided on a free basis by Météo-France on the following website:​​​​​​​​ ​​​​​​​​ https://www.data.gouv.fr/datasets/donnees-changement-climatique-sim-quotidienne (last access: 1 April 2026). Daily observed streamflow data are provided on a free basis on the following website: https://hydro.eaufrance.fr/ (last access: 1 April 2026). Some of the withdrawal data can be retrieved on the following website: https://bnpe.eaufrance.fr/ (last access: 1 April 2026). Unfortunately, it is not possible to share all water uses data due to property limitations.

Author contributions

LS, AT, LM and GTh conceptualized the study. LS, AT, GTa and GTh collected and curated the data. LS, AT, GTa and GTh performed most analyses and all other authors contributed to additional analyses. AT, LM and GTh acquired the funding. LS, AT, LM, GTa and GTh designed the methodology and prepared the original draft. All authors reviewed and edited the manuscript.

Competing interests

The contact author has declared that none of the authors has any competing interests.

Disclaimer

Publisher's note: Copernicus Publications remains neutral with regard to jurisdictional claims made in the text, published maps, institutional affiliations, or any other geographical representation in this paper. The authors bear the ultimate responsibility for providing appropriate place names. Views expressed in the text are those of the authors and do not necessarily reflect the views of the publisher.

Acknowledgements

All local stakeholders that either shared water uses data or participated to the workshops aiming at defining the water demand scenarios are deeply thanked for their contribution. We also thank the HydroPortail for providing hydrological data and Météo-France for providing both the atmospheric reanalysis data and the climate projection data. Charles Perrin, David Dorchies and Evelyne Talès (INRAE) are thanked for their participation on other aspects of the study that were not presented in this article. Special thanks go to Charles Perrin for his help in sorting out administrative issues throughout the project.

Financial support

This research has been supported by the Loire-Bretagne Water Agency and the EPTB Sèvre Nantaise.

Review statement

This paper was edited by Elena Toth and reviewed by Sopan Patil, Joris Eekhout, and one anonymous referee.

References

Abramowitz, G., Herger, N., Gutmann, E., Hammerling, D., Knutti, R., Leduc, M., Lorenz, R., Pincus, R., and Schmidt, G. A.: ESD Reviews: Model dependence in multi-model climate ensembles: weighting, sub-selection and out-of-sample testing, Earth Syst. Dynam., 10, 91–105, https://doi.org/10.5194/esd-10-91-2019, 2019. 

Ahmad, S., Waseem, M., Wahab, H., Khan, A. Q., Jehan, Z., Ahmad, I., and Leta, M. K.: Assessing water demand and supply in the Upper Indus Basin using integrated hydrological modeling under varied socioeconomic scenarios, Applied Water Science, 15, https://doi.org/10.1007/s13201-024-02310-3, 2025. 

Allen, R. G., Pereira, L. S., Raes, D., and Smith, M.: FAO Irrigation and drainage paper No. 56. Technical Report, Roma: Food et Agriculture Organization of the United Nations. 333 pp., https://www.fao.org/3/X0490E/x0490e00.htm (last access: 1 April 2026), 1998. 

Arnell, N. W.: The effect of climate change on hydrological regimes in Europe: a continental perspective, Global Environ. Chang., 9, 5–23, https://doi.org/10.1016/S0959-3780(98)00015-6, 1999. 

Aslam, M. F., Masia, S., Spano, D. Mereu, V., Debolini, M., Snyder, R. L., Borgo, A., and Trabucco, A.: Modelling crop water demand under climate change: the case of Sardinia region, Irrigation Sci., 43, 1681–1698, https://doi.org/10.1007/s00271-025-01027-8, 2025. 

Badham, J., Elsawah, S., Guillaume, J. H. A., Hamilton, S. H., Hunt, R. J., Jakeman, A. J., Pierce, S. A., Snow, V. O., Babbar-Sebens, M., Fu, B., Gober, P., Hill, M. C., Iwanaga, T., Loucks, D. P., Merritt, W. S., Peckham, S. D., Richmond, A. K., Zare, F., Ames, D., and Bammer, G.: Effective modeling for Integrated Water Resource Management: A guide to contextual practices by phases and steps and future opportunities, Environ. Modell. Softw., 116, 40–56, https://doi.org/10.1016/j.envsoft.2019.02.013, 2019. 

Beck, L. and Bernauer, T.: How will combined changes in water demand and climate affect water availability in the Zambezi river basin? Global Environmental Change, Symposium on Social Theory and the Environment in the New World (dis)Order 21, 1061–1072, https://doi.org/10.1016/j.gloenvcha.2011.04.001, 2011. 

Berthet, L., Bourgin, F., Perrin, C., Viatgé, J., Marty, R., and Piotte, O.: A crash-testing framework for predictive uncertainty assessment when forecasting high flows in an extrapolation context, Hydrol. Earth Syst. Sci., 24, 2017–2041, https://doi.org/10.5194/hess-24-2017-2020, 2020. 

Bieger, K., Arnold, J. G., Rathjens, H., White, M. J., Bosch, D. D., Allen, P. M., Volk, M., and Srinivasan, R. Introduction to SWAT+, A Completely Restructured Version of the Soil and Water Assessment Tool, JAWRA J. Am. Water Resour. As., 53, 115–130, https://doi.org/10.1111/1752-1688.12482, 2017. 

Boé, J., Somot, S., Corre, L., and Nabat, P.: Large discrepancies in summer climate change over Europe as projected by global and regional climate models: causes and consequences, Clim. Dynam., 54, 2981–3002, https://doi.org/10.1007/s00382-020-05153-1, 2020. 

Brêda, J. P. L. F., de Paiva, R. C. D., Collischon, W. Bravo, J. M., Siqueira, V. A., and Steinke, E. B.: Climate change impacts on South American water balance from a continental-scale hydrological model driven by CMIP5 projections, Climatic Change, 159, 503–522, https://doi.org/10.1007/s10584-020-02667-9, 2020. 

Broderick, C., Murphy, C., Wilby, R. L., Matthews, T., Prudhomme, C., Adamson, M.: Using a Scenario-Neutral Framework to Avoid Potential Maladaptation to Future Flood Risk, Water Resour. Res., 55, 1079–1104, https://doi.org/10.1029/2018WR023623, 2019. 

Brown, C., Ghile, Y., Laverty, M., and Li, K.: Decision scaling: Linking bottom-up vulnerability analysis with climate projections in the water sector, Water Resour. Res., 48, https://doi.org/10.1029/2011WR011212, 2012. 

Carmona, G., Varela-Ortega, C., and Bromley, J.: Supporting decision making under uncertainty: Development of a participatory integrated model for water management in the middle Guadiana river basin, Environ. Modell. Softw., 50, 144–157, https://doi.org/10.1016/j.envsoft.2013.09.007, 2013. 

Cheng, H., Wang, W., van Oel, P. R., Lu, J., Wang, G., and Wang, H.: Impacts of different human activities on hydrological drought in the Huaihe River Basin based on scenario comparison, J. Hydrol. Reg. Stud., 37, 100909, https://doi.org/10.1016/j.ejrh.2021.100909, 2021. 

Coron, L., Delaigue, O., Thirel, G., Perrin, C., and Michel, C.: airGR: Suite of GR Hydrological Models for Precipitation-Runoff Modelling, R package version 1.4.3.65, https://doi.org/10.15454/EX11NA, 2020. 

Coron, L., Thirel, G., Delaigue, O., Perrin, C., and Andréassian, V.: The Suite of Lumped GR Hydrological Models in an R package, Environ. Modell. Softw., 94, 166–171, https://doi.org/10.1016/j.envsoft.2017.05.002, 2017. 

Corre, L., Ribes, A., Bernus, S., Drouin, A., Morin, S., and Soubeyroux, J.-M.: Using regional warming levels to describe future climate change for services and adaptation: Application to the French reference trajectory for adaptation, Climate Services, 38, 100553, https://doi.org/10.1016/j.cliser.2025.100553, 2025. 

Danner, A. G., Safeeq, M., Grant, G. E., Wickham, C., Tullos, D., and Santelmann, M. V.: Scenario-Based and Scenario-Neutral Assessment of Climate Change Impacts on Operational Performance of a Multipurpose Reservoir, JAWRA J. Am. Water Resour. As., 53, 1467–1482, https://doi.org/10.1111/1752-1688.12589, 2017. 

de Boer-Euser, T., Bouaziz, L., De Niel, J., Brauer, C., Dewals, B., Drogue, G., Fenicia, F., Grelier, B., Nossent, J., Pereira, F., Savenije, H., Thirel, G., and Willems, P.: Looking beyond general metrics for model comparison – lessons from an international model intercomparison study, Hydrol. Earth Syst. Sci., 21, 423–440, https://doi.org/10.5194/hess-21-423-2017, 2017. 

de Lavenne, A., Andréassian, V., Thirel, G., Ramos, M.-H., and Perrin, C.: A regularization approach to improve the sequential calibration of a semi-distributed hydrological model, Water Resour. Res., 55, 8821–8839, https://doi.org/10.1029/2018WR024266, 2019. 

Dong, N., Wei, J., Yang, M., Yan, D., Yang, C., Gao, H., Arnault, J., Laux, P., Zhang, X., Liu, Y., Niu, J., Wang, H., Wang, H., Kunstmann, H., and Yu, Z.: Model estimates of China's terrestrial water storage variation due to reservoir operation, Water Resour. Res., 58, e2021WR031787, https://doi.org/10.1029/2021WR031787, 2022. 

Dorchies, D., Delaigue, O., and Thirel, G.: airGRiwrm: Modeling of Integrated Water Resources Management based on airGR, R package version 0.6.2.9000, https://doi.org/10.57745/XKN6NC, 2023. 

Dufeu, E., Mougin, F., Foray, A., Baillon, M., Lamblin, R., Hebrard, F., Chaleon, C., Romon, S., Cobos, L., Gouin, P., Audouy, J.-N., Martin, R., and Poligot-Pitsch, S. Finalisation of the French national hydrometric data information system modernisation operation (Hydro3), LHB, 108:1, https://doi.org/10.1080/27678490.2022.2099317, 2022. 

EPTB Vienne: Etude “ Hydrologie Milieux Usages Climat ” (H.M.U.C.) pour la mise en œuvre du SAGE Clain Phase 2 – Synthèse, https://www.vienne.gouv.fr/contenu/telechargement/44569/277507/file/EPTB_Vienne_HMUC_Clain_synthese_ph2_V202402.pdf (last access: 1 April 2026), 2024. 

Etablissement Public Loire: Etude “ Hydrologie, Milieux, Usages, Climat ” (HMUC) sur le bassin versant de l'Argance – Phase 1 | Analyse du fonctionnement hydro(géo)logique du bassin en régime influencé et désinfluencé, https://sage-loir.fr/wp-content/uploads/2024/10/HMUC-Argance-Phase1-Hydrologie-VF-HMUC-Argance-Phase1-Hydrologie-VF.pdf (last access: 1 April 2026), 2024. 

Evin, G., Hingray, B., Thirel, G., Ducharne, A., Strohmenger, L., Corre, L., Tramblay, Y., Vidal, J.-P., Bonneau, J., Colleoni, F., Gailhard, J., Habets, F., Hendrickx, F., Héraut, L., Huang, P., Le Lay, M., Magand, C., Marson, P., Monteil, C., Munier, S., Reverdy, A., Soubeyroux, J.-M., Robin, Y., Vergnes, J.-P., Vrac, M., and Sauquet, E.: Uncertainty sources in a large ensemble of hydrological projections: Regional Climate Models and Internal Variability matter, Hydrol. Earth Syst. Sci., 30, 1023–1051, https://doi.org/10.5194/hess-30-1023-2026, 2026. 

Fard, M. D. and Sarjoughian, H. S.: A RESTful framework design for componentizing the water evaluation and planning (WEAP) system, Simul. Model. Pract. Th., 106, https://doi.org/10.1016/j.simpat.2020.102199, 2021 

Gleckler, P. J., Taylor, K. E., and Doutriaux, C.: Performance metrics for climate models, J. Geophys. Res.-Atmos., 113. https://doi.org/10.1029/2007JD008972, 2008. 

Gleick, P. H.: Climate change, hydrology, and water resources, Rev. Geophys., 27, 329–344, https://doi.org/10.1029/RG027i003p00329, 1989. 

Global Water Partnership: Integrated Water Resources Management, Global Water Partnership, Stockholm, https://www.gwp.org/globalassets/global/toolbox/publications/background-papers/04-integrated-water-resources-management-2000-english.pdf (last access: 1 April 2026), 2000. 

Gupta, H. V., Kling, H., Yilmaz, K. K., and Martinez, G. F.: Decomposition of the mean squared error and NSE performance criteria: Implications for improving hydrological modelling, J. Hydrol., 377, 80–91, https://doi.org/10.1016/j.jhydrol.2009.08.003, 2009. 

Hadri, A., Saidi, M. E. M., El Khalki, E. M., Aachrine, B., Saouabe, T., and Elmaki, A. A.: Integrated water management under climate change through the application of the WEAP model in a Mediterranean arid region, J. Water Clim. Change, 13, 2414–2442, https://doi.org/10.2166/wcc.2022.039, 2022. 

Hargreaves, H. G. and Samani, A. Z.: Reference Crop Evapotranspiration from Temperature, Appl. Eng. Agric., 1, 96–99, https://doi.org/10.13031/2013.26773, 1985. 

Harou, J. J., Pulido-Velazquez, M., Rosenberg, D. E., Medellín-Azuara, J., Lund, J. R., and Howitt, R. E.: Hydro-economic models: Concepts, design, applications, and future prospects, J. Hydrol., 375, 627–643, https://doi.org/10.1016/j.jhydrol.2009.06.037, 2009. 

Hrachowitz, M. and Clark, M. P.: HESS Opinions: The complementary merits of competing modelling philosophies in hydrology, Hydrol. Earth Syst. Sci., 21, 3953–3973, https://doi.org/10.5194/hess-21-3953-2017, 2017. 

Jacob, D., Petersen, J., Eggert, B., Alias, A., Christensen, O. B., Bouwer, L. M., Braun, A., Colette, A., Déqué, M., Georgievski, G., Georgopoulou, E., Gobiet, A., Menut, L., Nikulin, G., Haensler, A., Hempelmann, N., Jones, C., Keuler, K., Kovats, S., Kröner, N., Kotlarski, S., Kriegsmann, A., Martin, E., van Meijgaard, E., Moseley, C., Pfeifer, S., Preuschmann, S., Radermacher, C., Radtke, K., Rechid, D., Rounsevell, M., Samuelsson, P., Somot, S., Soussana, J.-F., Teichmann, C., Valentini, R., Vautard, R., Weber, B., and Yiou, P.: EURO-CORDEX: new high-resolution climate change projections for European impact research, Reg. Environ. Change, 14, 563–578, https://doi.org/10.1007/s10113-013-0499-2, 2014. 

Jacob, D., Teichmann, C., Sobolowski, S. Katragkou, E., Anders, I., Belda, M., Benestad, R., Boberg, F., Buonomo, E., Cardoso, R. M., Casanueva, A., Christensen, O. B., Christensen, J. H., Coppola, E., De Cruz, L., Davin, E. L. Dobler, A., Domínguez, M., Fealy, R., Fernandez, J., Gaertner, M. A., García-Díez, M., Giorgi, F., Gobiet, A., Goergen, K., Gómez-Navarro, J. J., González Alemán, J. J., Gutiérrez, C., Gutiérrez, J. M., Güttler, I., Haensler, A., Halenka, T., Jerez, S., Jiménez-Guerrero, P,. Jones, R. G., Keuler, K., Kjellström, E., Knist, S., Kotlarski, S., Maraun, D., van Meijgaard, E., Mercogliano, P., Montávez, J. P., Navarra, A., Nikulin, G., de Noblet-Ducoudré, N., Panitz, H.-J., Pfeifer, S., Piazza, M., Pichelli, E., Pietikäinen, J.-P., Prein, A. F., Preuschmann, S., Rechid, D., Rockel, B., Romera, R., Sánchez, E., Sieck, K., Soares, P. M. M., Somot, S., Srnec, L., Lund Sørland, S., Termonia, P., Truhetz, H., Vautard, R., Warrach-Sagi, K., and Wulfmeyer, V.:. Regional climate downscaling over Europe: perspectives from the EURO-CORDEX community, Reg. Environ. Change, 20, 51, https://doi.org/10.1007/s10113-020-01606-9, 2020. 

Klemeš, V.: Operational testing of hydrologic simulation models, Hydrolog. Sci. J., 311, 13–24, https://doi.org/10.1080/02626668609491024, 1986. 

Konzmann, M., Gerten, D., and Heinke, J.: Climate impacts on global irrigation requirements under 19 GCMs, simulated with a vegetation and hydrology model, Hydrolog. Sci. J., 58, 88–105, https://doi.org/10.1080/02626667.2013.746495, 2012. 

Krysanova, V. and White, M.: Advances in water resources assessment with SWAT – an overview, Hydrolog. Sci. J., 1–13, https://doi.org/10.1080/02626667.2015.1029482, 2015. 

Lemaitre-Basset, T., Collet, L., Thirel, T., Parajka, J., Evin, G., and Hingray, B.: Climate change impact and uncertainty analysis on hydrological extremes in a French Mediterranean catchment, Hydrolog. Sci. J., 66, 888–903, https://doi.org/10.1080/02626667.2021.1895437, 2021. 

Lemaitre-Basset, T., Thirel, G., Oudin, L., and Dorchies, D.: Water use scenarios versus climate change: investigating future water management of the French part of the Moselle, J. Hydrol. Reg. Stud., 54, https://doi.org/10.1016/j.ejrh.2024.101855, 2024. 

Li, Z., Sun, F., Liu, W., Wang, T., Wang, H., and Feng, Y.: China's carbon neutrality policy facilitates halving industrial water withdrawal, Environ. Res. Lett., 19, 114082, https://doi.org/10.1088/1748-9326/ad7f6f, 2024. 

Lobligeois, F., Andréassian, V., Perrin, C., Tabary, P., and Loumagne, C.: When does higher spatial resolution rainfall information improve streamflow simulation? An evaluation using 3620 flood events, Hydrol. Earth Syst. Sci., 18, 575–594, https://doi.org/10.5194/hess-18-575-2014, 2014. 

Lopez, S. F., Knight, J. E., Tilman, F. D., Masbruch, M. D., Wise, D. R., Jones, C. J., and Miller, M. P.: Database of surface water diversion sites and daily withdrawals for the Upper Colorado River Basin, 1980–2022, Scientific Data, 11, 1266, https://doi.org/10.1038/s41597-024-04123-0, 2024. 

Ludwig, F., van Slobbe, E., and Cofino, W.: Climate change adaptation and Integrated Water Resource Management in the water sector, J. Hydrol., 518, 235–242, https://doi.org/10.1016/j.jhydrol.2013.08.010, 2014. 

Marson, P., Corre, L., Soubeyroux, J.-M., and Sauquet, E.: Rapport de synthèse sur les projections climatiques régionalisées, V1, Recherche Data Gouv, https://doi.org/10.57745/PUR7ML, 2024. 

Mirzaei, A. and Zibaei, M. Water Conflict Management between Agriculture and Wetland under Climate Change: Application of Economic-Hydrological-Behavioral Modelling, Water Resour. Manag., 35, 1–21, https://doi.org/10.1007/s11269-020-02703-4, 2021. 

Nicolle, P., Pushpalatha, R., Perrin, C., François, D., Thiéry, D., Mathevet, T., Le Lay, M., Besson, F., Soubeyroux, J.-M., Viel, C., Regimbeau, F., Andréassian, V., Maugis, P., Augeard, B., and Morice, E.: Benchmarking hydrological models for low-flow simulation and forecasting on French catchments, Hydrol. Earth Syst. Sci., 18, 2829–2857, https://doi.org/10.5194/hess-18-2829-2014, 2014. 

Noto, L. V., Cipolla, G., Francipane, A., and Pumo, D.: Climate Change in the Mediterranean Basin (Part I): Induced Alterations on Climate Forcings and Hydrological Processes, Water Resour. Manag., 37, 2287–2305, https://doi.org/10.1007/s11269-022-03400-0, 2023 

O'Shea, D., Nathan, R., Wasko, C., Ho, M., and Sharma, A.: Evaluation of key flood risk drivers under climate change using a bottom-up approach, J. Hydrol., 640, 131694, https://doi.org/10.1016/j.jhydrol.2024.131694, 2024. 

Pastén-Zapata, E., Jones, J. M., Moggridge, H., and Widmann, M.: Evaluation of the performance of Euro-CORDEX Regional Climate Models for assessing hydrological climate change impacts in Great Britain: A comparison of different spatial resolutions and quantile mapping bias correction methods, J. Hydrol., 584, 124653, https://doi.org/10.1016/j.jhydrol.2020.124653, 2020. 

Pedro-Monzonís, M., Solera, A., Ferrer, J., Andreu, J., and Estrela, T.: Water accounting for stressed river basins based on water resources management models, Sci. Total Environ., 565, 181–190, https://doi.org/10.1016/j.scitotenv.2016.04.161, 2016. 

Pelletier, A. and Andréassian, V.: On constraining a lumped hydrological model with both piezometry and streamflow: results of a large sample evaluation, Hydrol. Earth Syst. Sci., 26, 2733–2758, https://doi.org/10.5194/hess-26-2733-2022, 2022. 

Peñas, F. J. and Barquín, J.: Assessment of large-scale patterns of hydrological alteration caused by dams, J. Hydrol., 572, 706–718, https://doi.org/10.1016/j.jhydrol.2019.03.056, 2019. 

Perrin, C., Michel, C., and Andréassian, V.: Improvement of a parsimonious model for streamflow simulation, J. Hydrol., 279, 275–289, https://doi.org/10.1016/S0022-1694(03)00225-7, 2003. 

Préfet de la Loire-Atlantique, Préfet de Maine-et-Loire, Préfet des Deux-Sèvres, Préfet de la Vendée: Arrêté interdépartemental délimitant des zones d'alerte et définissant les mesures de limitation ou de suspension provisoire des usages de l'eau dans le bassin de la Sèvre Nantaise situé en régions Nouvelle Aquitaine et Pays de la Loire pour faire face à une menace ou aux conséquences d'une sécheresse ou à un risque de pénurie, 21 pp., https://www.deux-sevres.gouv.fr/index.php/contenu/telechargement/40208/302357/file/AC_SNa_complet_20210617_signe.pdf (last access: 1 April 2026), 2021. 

Prudhomme, C., Wilby, R. L., Crooks, S., Kay, A. L., and Reynard, N. S.: Scenario-neutral approach to climate change impact studies: Application to flood risk, J. Hydrol., 390, 198–209, https://doi.org/10.1016/j.jhydrol.2010.06.043, 2010. 

Purnamasari, D., Verseveld, W. J. V., Buitink, J., Weiland, F. S., Dalmijn, B., Teuling, A. J., and Weerts, A. H.: Improving realism of high-resolution hydrological modeling with anthropogenic water use: a study on the Rhine basin, ESS Open Archive [preprint], https://doi.org/10.22541/essoar.175336966.62234347/v1, 2025. 

Pushpalatha, R., Perrin, C., Le Moine, N., Mathevet, T., and Andréassian, V.: A downward structural sensitivity analysis of hydrological models to improve low-flow simulation, J. Hydrol., 411, 66–76, https://doi.org/10.1016/j.jhydrol.2011.09.034, 2011. 

Roach, T., Kapelan, Z., and Ledbetter, R.: Comparison of Info-gap and Robust Optimisation Methods for Integrated Water Resource Management under Severe Uncertainty. Procedia Engineering, Computing and Control for the Water Industry (CCWI2015) Sharing the best practice in water management 119, 874–883, https://doi.org/10.1016/j.proeng.2015.08.955, 2015. 

Royer-Gaspard, P., Bourgin, F., Perrin, C., Andréassian, V., De Lavenne, A., Thirel, G., and Tilmant, F.: Benefits of upstream data for downstream streamflow forecasting: data assimilation in a semi-distributed flood forecasting model, LHB, 2374081, https://doi.org/10.1080/27678490.2024.2374081, 2024. 

Salam, S., Popescu, I., and Scrieciu, A.: Defining a water-energy-food nexus framework for water allocation in the lower Danube between iron gates and zimnicea, GeoEcoMarina, 28, 115–130, https://journal.geoecomar.ro/geo-eco-marina/article/view/09_2022 (last access: 2 April 2026), 2022. 

Sánchez-Gómez, A., Arnold, J. G., Bieger, K., Čerkasova, N., Sammons, N. B., Martínez-Pérez, S., and Molina-Navarro, E.: Modelling Water Management using SWAT+: Application of Reservoirs Release Tables and the New Water Allocation Module in a Highly Managed River Basin, Water Resour. Manag., 39, 2357–2399, https://doi.org/10.1007/s11269-024-04071-9, 2025. 

Santos, L., Thirel, G., and Perrin, C.: Technical note: Pitfalls in using log-transformed flows within the KGE criterion, Hydrol. Earth Syst. Sci., 22, 4583–4591, https://doi.org/10.5194/hess-22-4583-2018, 2018. 

Santos, L., Thomas, A., Mounereau, L., and Thirel, G.: Etude HMUC: Rapport Phase 1 – Analyse des données et définition des besoins complémentaires, 115 pp., https://hal.inrae.fr/hal-03962321 (last access: 1 April 2026), 2022. 

Santos, L., Tales, E., Bluche, A., Thomas, A., Mounereau, L., and Thirel, G.: Etude HMUC: Rapport Phase 2. État des lieux/Diagnostic/Constitution de la modélisation, 197 pp., https://hal.inrae.fr/hal-04008873 (last access: 1 April 2026), 2023a. 

Santos, L., Tallec, G., Tales, E., Bluche, A., You B., Thomas, A., Mounereau, L., and Thirel, G.: Étude HMUC: Rapport Phase 3. Définition des débits biologiques – Analyses prospectives: besoins futurs et changement climatique, 441 pp., https://hal.inrae.fr/hal-04355199 (last access: 1 April 2026), 2023b. 

Sauquet, E., Strohmenger, L., Thirel, G., and Le Lay, M.: Quelles évolutions des régimes hydrologiques en France hexagonale ?, Research report, Recherche Data Gouv, https://doi.org/10.57745/TLUTKF, 2024. 

Sauquet, E., Evin, G., Siauve, S., Aissat, R., Arnaud, P., Bérel, M., Bonneau, J., Branger, F., Caballero, Y., Colléoni, F., Ducharne, A., Gailhard, J., Habets, F., Hendrickx, F., Héraut, L., Hingray, B., Huang, P., Jaouen, T., Jeantet, A., Lanini, S., Le Lay, M., Magand, C., Mimeau, L., Monteil, C., Munier, S., Perrin, C., Robelin, O., Rousset, F., Soubeyroux, J.-M., Strohmenger, L., Thirel, G., Tocquer, F., Tramblay, Y., Vergnes, J.-P., and Vidal, J.-P.: A large transient multi-scenario multi-model ensemble of future streamflow and groundwater projections in France, EGUsphere [preprint], https://doi.org/10.5194/egusphere-2025-1788, 2025. 

Savenije, H. H. G. and Van der Zaag, P.: Integrated water resources management: Concepts and issues, Phys. Chem. Earth, Parts A/B/C, 33, 290–297, https://doi.org/10.1016/j.pce.2008.02.003, 2008. 

Shepherd, T. G., Boyd, E., Calel, R. A., Chapman, S. C., Dessai, S., Dima-West, I. M., Fowler, H. J., James, R., Maraun, D., Martius, O., Senior, C. A., Sobel, A. H., Stainforth, D. A., Tett, S. F. B., Trenberth, K. E., van den Hurk, B. J. J. M. , Watkins, N. W., Wilby, R. L., and Zenghelis, D. A.: Storylines: an alternative approach to representing uncertainty in physical aspects of climate change, Clim. Change, 151, 555–571, https://doi.org/10.1007/s10584-018-2317-9, 2018. 

Soncini-Sessa, R., Cellina, F., Pianosi, F., and Weber, E.: Integrated and Participatory Water Resources Management: Practice, Elsevier, ISBN 9780444530127, https://shop.elsevier.com/books/integrated-and-participatory-water-resources-management-practice/soncini-sessa/978-0-444-53012-7 (last access: 1 April 2026), 2007. 

Sousa, D. S., Silva, E. P., de M. A. Alves, C., Minoti, R. T., and Vergara, F. E.: Coupling data-driven agent-based and hydrological modelling to explore the effect of collective water allocation strategies in environmental flows, J. Hydrol., 652, 132670, https://doi.org/10.1016/j.jhydrol.2025.132670, 2025. 

Soutif-Bellenger, M., Thirel, G., Therond, O., and Villerd, J.: As simple as possible but not simpler?: the case of irrigation modeling at catchment scale in southwestern France, Irrigation Sci., 41, 713–736, https://doi.org/10.1007/s00271-023-00846-x, 2023. 

Starr, G. and Levison, J.: Identification of Crop Groundwater and Surface Water Consumption Using Blue and Green Virtual Water Contents at a Subwatershed Scale, Environmental Processes, 1, 497–515, https://doi.org/10.1007/s40710-014-0040-8, 2014. 

Strohmenger, L., Collet, L., Andréassian, V., Corre, L., Rousset, L., and Thirel, G.: Köppen–Geiger climate classification across France based on an ensemble of high-resolution climate projections, CR. Géosci., 356, 67–82, https://doi.org/10.5802/crgeos.263, 2024. 

Syndicat Grand Lieu Estuaire: Rapport phase 2 volet climat HMUC Grand Lieu, https://www.sgle.fr/wp-content/uploads/2025/02/RAPPORT-PHASE-2-VOLET-CLIMAT-HMUC-GRAND-LIEU.pdf (last access: 1 April 2026), 2024. 

Taylor, K. E., Stouffer, R. J., and Meehl, G. A.: An Overview of CMIP5 and the Experiment Design, B. Am. Meteorol. Soc., 93, 485–498, https://doi.org/10.1175/BAMS-D-11-00094.1, 2012. 

Thirel, G., Santos, L., Delaigue, O., and Perrin, C.: On the use of streamflow transformations for hydrological model calibration, Hydrol. Earth Syst. Sci., 28, 4837–4860, https://doi.org/10.5194/hess-28-4837-2024, 2024. 

Thirel, G., Collet, L., Rousset, F., Delaigue, O., François, D., Gailhard, J., Lay, M. L., Perrin, C., Reverdy, M., Samacoits, R., Terrier, M., Vidal, J.-P., and Wagner, J.-P.: Future streamflow along the French part of the Meuse River – a closer look at uncertainties, Houille Blanche, 111, 2484192, https://doi.org/10.1080/27678490.2025.2484192, 2025. 

Tilmant, F., Nicolle, P., Bourgin, F., Besson, F., Delaigue, O., Etchevers, P., François, D., Le Lay, M., Perrin, C., Rousset, F., Thiéry, D., Magand, C., Leurent, T., and Jacob, É.: PREMHYCE: un outil opérationnel pour la prévision des étiages, Houille Blanche, 106, 37–44, https://doi.org/10.1051/lhb/2020043, 2020. 

Tra, T. V., Thinh, N. X., and Greiving, S.: Combined top-down and bottom-up climate change impact assessment for the hydrological system in the Vu Gia- Thu Bon River Basin, Sci. Total Environ., 630, 718–727, https://doi.org/10.1016/j.scitotenv.2018.02.250, 2018. 

van der Laan, L., Cholibois, K., El Menuawy, A., and Förster, K.: A scenario–neutral approach to climate change in glacier mass balance modeling, Ann. Glaciol., 64, 411–424, https://doi.org/10.1017/aog.2024.22, 2023. 

van Oel, P. R., Krol, M. S., Hoekstra, A. Y., and Taddei, R. R.: Feedback mechanisms between water availability and water use in a semi-arid river basin: A spatially explicit multi-agent simulation approach, Environ. Modell. Softw., 25, 433–443, https://doi.org/10.1016/j.envsoft.2009.10.018, 2010. 

Verfaillie, D., Déqué, M., Morin, S., and Lafaysse, M.: The method ADAMONT v1.0 for statistical adjustment of climate projections applicable to energy balance land surface models, Geosci. Model Dev., 10, 4257–4283, https://doi.org/10.5194/gmd-10-4257-2017, 2017. 

Vidal, J.-P., Martin, E., Franchistéguy, L., Baillon, M., and Soubeyroux, J.-M.: A 50-year high-resolution atmospheric reanalysis over France with the Safran system, Int. J. Climatol., 30, 1627–1644, https://doi.org/10.1002/joc.2003, 2010. 

Vidal, J.-P., Hingray, B., Magand, C., Sauquet, E., and Ducharne, A.: Hierarchy of climate and hydrological uncertainties in transient low-flow projections, Hydrol. Earth Syst. Sci., 20, 3651–3672, https://doi.org/10.5194/hess-20-3651-2016, 2016. 

Voisin, N., Liu, L., Hejazi, M., Tesfa, T., Li, H., Huang, M., Liu, Y., and Leung, L. R.: One-way coupling of an integrated assessment model and a water resources model: evaluation and implications of future changes over the US Midwest, Hydrol. Earth Syst. Sci., 17, 4555–4575, https://doi.org/10.5194/hess-17-4555-2013, 2013.  

Voisin, N., Hejazi, M. I., Leung, L. R., Liu, L., Huang, M., Li, H.-Y., and Tesfa, T.: Effects of spatially distributed sectoral water management on the redistribution of water resources in an integrated water model, Water Resour. Res., 53, 4253–4270, https://doi.org/10.1002/2016WR019767, 2017. 

Wang, K., Davies, E. G. R., and Liu, J.: Integrated water resources management and modeling: A case study of Bow river basin, Canada, J. Clean. Prod., 240, 118242, https://doi.org/10.1016/j.jclepro.2019.118242, 2019. 

Wu, J., Yen, H., Arnold, J. G., Yang, Y. C. E., Cai, X., White, M. J., Santhi, C., Miao, C., and Srinivasan, R.: Development of reservoir operation functions in SWAT+ for national environmental assessments, J. Hydrol., 583, 124556, https://doi.org/10.1016/j.jhydrol.2020.124556, 2020. 

Yalvaç, S., Alemdağ, S., Zeybek, H. İ., and Yalvaç, M.: Excessive groundwater withdrawal and resultant land subsidence in the Küçük Menderes River Basin, Turkey as estimated from InSAR-SBAS and GNSS measurements, Adv. Space Res., 72, 4282–4297, https://doi.org/10.1016/j.asr.2023.08.001, 2023. 

Yang, X., Wu, F., Yuan, S., Ren, L., Sheffield, J., Fang, X., Jiang, S., and Liu, Y.: Quantifying the impact of human activities on hydrological drought and drought propagation in China using the PCR-GLOBWB v2.0 model, Water Resour. Res., 60, e2023WR035443, https://doi.org/10.1029/2023WR035443, 2024. 

Yates, D., Sieber, J., Purkey, D., and Huber-Lee, A.: WEAP21 – A Demand-, Priority-, and Preference-Driven Water Planning Model: Part 1: Model Characteristics, Water Int., 30, 487–500, https://doi.org/10.1080/02508060508691893, 2005. 

Zhang, Z., Getahun, E., Mu, M., and Chandrasekaran, S.: Water Supply Planning Considering Uncertainties in Future Water Demand and Climate: A Case Study in an Illinois Watershed, JAWRA J. Am. Water Resour. As., 59, 449–465, https://doi.org/10.1111/1752-1688.12948, 2023. 

Download
Short summary
Water resources will be heavily impacted by climate change in the future, with low flows and water demand satisfaction expected to decline. This study uses an integrated water resources management model to examine future water demand scenarios, revealing that climate change will be the primary driver of changes. While adapting water uses could mitigate negative impacts, this will not be enough to adapt to climate change. The irrigation sector is expected to be the most impacted.
Share